FIL币2025年能突破50美元吗?
Fil代币在2025年能突破50美金一枚吗?
大家都在用的虚拟币交易平台推荐:
- OKX(欧易)>>>进入官网<<< >>>官方下载<<<
- Binance(币安)>>>进入官网<<< >>>官方下载<<<
随着区块链技术的快速发展,去中心化存储逐渐成为全球数据管理的新趋势。Filecoin(FIL)作为这一领域的先行者,凭借其独特的经济模型和强大的社区支持,迅速吸引了大量投资者和用户的关注。本文将深入解析Filecoin的核心功能、主要机构持有者、灰度基金的购买记录,并探讨FIL的未来价格预测及其利好信息。
一、Filecoin概述
Filecoin 是什么?
Filecoin是一个基于区块链的去中心化存储网络,旨在提供安全、高效且经济的分布式云存储服务。它建立在IPFS(星际文件系统)之上,通过内容寻址的方式更高效地存储和检索文件。Filecoin通过引入经济激励机制,鼓励用户出租闲置的硬盘空间,并确保文件的安全性和可靠性。
FIL代币功能
·支付存储和检索费用:用户支付FIL租用存储空间或检索文件。
·质押与挖矿奖励:矿工质押FIL提供存储服务,获得FIL奖励。
·网络治理:FIL持有者参与网络治理,投票表决协议变更。
FIL代币分配
FIL的总供应量为20亿枚,具体分配如下:
·矿工奖励:70%(14亿枚),用于激励矿工。
·团队和顾问:15%(3亿枚),6年内线性释放。
·投资者:10%(2亿枚),有锁定期。
·基金会:5%(1亿枚),支持生态系统发展。
截至2025年1月6日,FIL的流通量约为5.74亿枚,占总供应量的28.7%。
二、主要机构持有者
以下是FIL的主要机构持有者及其大致持有量:
·灰度基金(Grayscale):持有量超过174.85万枚FIL,持续增持。
·Coinbase Custody:持有量数百万枚FIL,具体数量未公开。
·Polychain Capital:持有量数十万枚FIL,作为早期投资者持续支持项目。
·Protocol Labs(Filecoin基金会):持有量约3亿枚FIL,负责项目的开发和生态系统的长期发展。
·其他机构:如A16z、Electric Capital等知名基金也持有FIL。
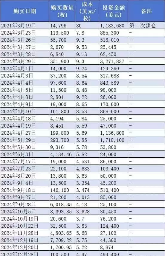
三、灰度基金FIL购买记录
总结:
·总购买次数:66次
·当前持有量:超过174.85万枚FIL
·总成本:约22,127,843美元
·平均成本:约11.88美元/枚
四、2025年FIL价格预测
根据现有市场状况和技术发展,对FIL价格的预测范围如下:
·保守预测:2025年FIL的价格可能在12.94到45.81美元之间波动。
·乐观预测:一些更为激进的预测认为,FIL有可能在2025年达到74.22美元甚至更高。
·长期潜力:如果Filecoin能够在去中心化存储领域取得显著进展,并且市场需求大幅增长,FIL的价格可能会突破100美元大关。
五、利好信息
·去中心化存储的需求增长:全球数据量的快速增长使得传统的集中式云存储面临成本高昂、隐私问题,而去中心化存储提供了更安全、透明且成本更低的替代方案。
·Web3.0生态系统的崛起:Filecoin是Web3.0的重要基础设施,为去中心化应用(DApps)、NFT、元宇宙等领域提供了可靠的存储服务。
·与科技巨头的合作:Filecoin已经与IBM、AWS等科技巨头建立了合作关系,提升了其技术实力和市场份额。
·Filecoin Plus计划的成功实施:该计划通过引入信誉机制,确保存储提供商的服务质量,吸引了更多高质量的存储提供商加入。
·时空证明(PoSt)机制的优势:Filecoin的挖矿机制更加注重实际存储服务的提供,而非单纯的算力竞争,确保了网络的安全性和可靠性。
·合规化进程的推进:Filecoin团队正在积极应对监管挑战,推动项目的合规化进程,增强了市场的信心。
六、结论
Filecoin(FIL)作为去中心化存储领域的领先项目,凭借其独特的技术和经济模型,已经在全球范围内获得了广泛关注。主要机构持有者的积极参与不仅为FIL注入了新的流动性,也增强了市场的信心。随着生态系统的不断扩展和技术进步,FIL的未来发展前景值得期待。
七、写在最后
Fil代币可谓是众多币圈大咖的“梦中情人”,作为存储龙头代币,在2021年Q1山寨季时曾一度上涨至238美金,如今已经横盘长达4年之久;对其爱有多深,对其期望就有多大。
今日受利好消息刺激,Fil曾一度上涨突破6美金;如果能突破20美金压力位,意味着其上涨空间将彻底被打开。
游乐网为非赢利性网站,所展示的游戏/软件/文章内容均来自于互联网或第三方用户上传分享,版权归原作者所有,本站不承担相应法律责任。如您发现有涉嫌抄袭侵权的内容,请联系youleyoucom@outlook.com。
同类文章
吴国首都在哪?揭秘三国东吴迁都史
东吴建国史是一部迁都史,其都城并非一成不变,而是随着领土扩张不断变迁。东吴的“都城”历经长沙、鲁阳、会稽、吴郡、建业、公安、武昌等多个城市。孙权称帝后,为减轻都城防守压力,最终定都建业。东吴迁都史在三国时期堪称数量之最,反映了其发展历程与战略考量,迁都也成为了东吴历史发展的重要组成部分。
- 日榜
- 周榜
- 月榜
相关攻略
2015-03-10 11:25
2015-03-10 11:05
2021-08-04 13:30
2015-03-10 11:22
2015-03-10 12:39
2022-05-16 18:57
2025-05-23 13:43
2025-05-23 14:01
热门教程
- 游戏攻略
- 安卓教程
- 苹果教程
- 电脑教程






