CoinGecko推出信任评分,交易所排名巨变
市场需要透明度,用户应该获得准确的数据。
2025年主流加密货币交易所:
- 欧易OKX >>>进入官网<<< >>>官方下载<<<
- 币安Binance >>>进入官网<<< >>>官方下载<<<
主流加密数据聚合平台CoinGecko于5月13日推出了“信任评分(Trust Score)”,旨在希望能够制止滥用交易量,并更清楚地了解交易所的实际流动性。CoinGecko致力于为用户提供必要的信息,帮助用户做出更明智的决策。
在传统市场上,交易量大的交易所等同于高流动性。然而,在密码市场,高交易量的交易所不一定等同于高流动性。这是因为许多不受监管的交易所从事水洗交易和其他操纵行为,以扩大其交易量。
作为领先的加密资产数据聚合器之一,CoinGecko致力于做必要的工作,使我们的用户能够获得信息,帮助他们做出更明智的决策。我们充分意识到市场需要透明度,CoinGecko致力于改善这一点。
图交易所排名根据“信任评分”标准化的交易额由大到小排列,简单分析主要结论有:
1.此交易额排名与数链评级给与的交易所等级排名基本一致(35家交易所等级,点此)。
2.大部分交易所标准化后的交易额与报告的交易额存在很大差异,差异度在5%以内的交易所包括Binance、Coinbase Pro、Bitfinex、Kraken、Gate.io、Bitbank、Bittrex、Poloniex、Coincheck和CoinEx共10家。
3.交易对平均交易额超过1500万美元的交易所包括Binance、Coinbase Pro、Bitfinex、Kraken、Bitstamp、Bitbank、Gemini和Coincheck共8家。
4.访问次数超过400万次的交易所包括Binance、Coinbase Pro、Bitfinex、Bittrex、Poloniex共5家。
重点介绍CoinGecko推出的“信任评分”。
原文来源:https://blog.coingecko.com/trust-score
原文标题:CoinGecko Introduces “Trust Score” to Combat Fake Exchange Volume Data
翻译整理:数链评级,并得到Bobby Ong授权发布
原文作者:Bobby Ong,他于2009年-2012年就读于伦敦大学学院(University College London ,UCL)经济学专业,获得理学士(Bachelor of Science,BSc)学位。UCL与剑桥大学、牛津大学、帝国理工、伦敦政经学院并称金砖五校G5。2018年1月,他任职新跃社科大学(Singapore University of Social Sciences,SUSS)董事。2014年3月,他作为联合创始人加入CoinGecko。
CoinGecko是一个加密货币数据分析和研究平台,该平台除了跟踪价格、数量和市值外,还跟踪社区增长、开源代码开发、重 大 事 件和链上指标等。为了打击虚假交易数据,我们在网站上推出了一项名为“信任评分(Trust Score)”的新评级算法,该算法已于2019年5月13日在官网普遍实施。
简而言之,“信任评分”是一个考虑交易所报告的交易额(exchanges’ reported trading volume)、网络流量(web traffic)和订单深度(order book depth)的混合公式。核心要点是按流量对交易额进行标准化处理+订单簿分析(买/卖价差和±2%深度成本)。
A)按流量对交易额进行标准化处理
虽然交易额很容易被流氓交易所伪造,但他们会发现伪造由第三方服务商(如SimilarWeb)汇总的网络流量统计数据要困难得多。这里的想法是不依赖于单一的数据来源,而是依赖多种数据来源来阻止作弊。交换额的标准化涉及平均每日流量、单位流量用户交易额(ADUTV)、基准ADUTV和标准化总交易额等4个步骤:
# www.similarweb.com是一个为企业提供网络分析服务的网站。该公司向企业提供有关其客户和竞争对手网站流量的信息、推荐来源(包括关键词分析)、和网站“粘性”(例如网站上的时间、页面浏览量、跳出率)以及其他特征。#
1. 平均每日流量
我们汇总了CoinGecko跟踪的所有加密交易所的每月网络流量统计数据,该数据来自SimilarWeb,将其除以30以获得平均每日流量。
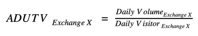
2. 单位流量用户交易额
将交易所每日报告的交易额除以平均每日流量,我们能够得出每个交易所的单位流量用户交易额(the Average Daily User Trading Volume ,ADUTV)。
3. 基准ADUTV
我们选取加密初创公司Bitwise Asset Management向美国SEC递交的比特币ETF报告中的10家交易所(Binance、Bitfinex、Kraken、Bitstamp、Coinbase、Bitflyer、Gemini、itBit、Bittrex、Poloniex),计算这10个交易所ADUTV的中位数,并把它视为单位流量用户交易额的基准。
4. 标准化总交易额
我们根据此基准得出每家交易所的标准化的总交易额。对于ADUTV低于基准的交易所,我们不会将其报告的交易额标准化。但是,对于ADUTV高于基准的交易所,我们将SimilarWeb统计估算的交易所每日流量乘以基准来得到该交易所标准化总交易额。
这意味着低访问量但交易额极高的交易将受到惩罚并且其交易额会向下调整。此方法假设在API和移动应用程序上交易的用户百分比在所有交易所中是相同的。我们意识到这是一种简化,但却是更好地呈现交易额数据的必要步骤。
资料来源:CoinGecko;数链评级
注:目前,交易额标准化仅发生在现货交易所而非期货交易所。
左面屏幕截图显示了交易所报告的交易额排名,而右面屏幕截图显示了标准化的交易额排名。进行交易费挖矿(trans-fee mining)和刷·量交易(wash trading)的交易所将立即在这种标准化交易额方法中受到处罚。
B)订单簿分析(买/卖价差和±2%深度成本)
我们还推出了两个新的基于订单的指标:买入/卖出价差(Bid/Ask Spread)和±2%深度成本(± 2% Depth Cost)。这两个指标与交易额数据相结合可以更好地概述任何交易所给定交易对的实际流动性。新指标定义如下:
买/卖差价:(最低卖出 - 最高买入价)/最低买卖价*100
买/卖差价是卖价(卖方愿意出售的最低价格)超过任何特定市场中的资产的买入价(买方愿意购买的最高价)的金额。这种价差以百分比形式表示,是衡量流动性的一个很好的指标。较低的买/卖价差将意味着交易对具有更强的流动性,而更高的买/卖价差将意味着它更缺乏流动性。有关买卖差价的更多信息,您可以阅读此Investopedia文章(见文末)。
±2%深度成本:将订单从上次交易价格上调或下调2%所需的美元资本。
我们首先选取任何特定交易对的最后一个完成价格,然后计算2%的上限和下限。假设特定交易所的BTC / USDT最后交易价格为6,000美元,那么2%的上限为6,120美元,2%的下限为5,880美元。
然后,我们将订单中的BTC金额总计在6,000美元到6,120美元之间,然后将订单数量乘以订单价格。这是将订单上调2%所需的资本金额,我们将其称为+ 2%深度。
接下来总结订单中BTC的金额在5,880美元到6,000美元之间,然后将订单数量再乘以订单价格。这是将订单下调2%所需的资本金额,我们将其称为-2%深度。
较厚的订单表明任何交易者都有更多的流动性进入并买入或卖出特定的加密资产而没有太多的滑点,而较薄的订单表明对于任意一个交易者来说没有进行实质交易的流动性。下面两幅图是Ethereum交易页面在有和无“信任分数”的情况下的样子。
无“信任评分”的Ethereum交易页面
有“信任评分”的Ethereum交易页面
总之,随着“信任分数”的实施,交易所排名发生了巨大的变化,因为该算法优先考虑具有较窄价差和更厚深度的交易。而不是纯粹的交易量。这使交易量操纵对交易所的吸引力降低,并将重点放在对交易者重要的事情上——流动性。
我们的信任评分算法清楚地表明,更大的数量并不一定等同于更健康的订单(定义为具有紧密的价差和更厚的深度)。通过结合交易量,买/卖差价和±2%深度成本指标,我们为每个交易对定义“信任得分”。“信任分数”被分为三类良好(绿色)、一般(黄色)和较差(较差),由此,用户可以更全面地了解每个交易所交易对的流动性。
目前,CoinGecko的“信任评分”重复强调流动性指标,这是提高交换数据透明度的多步骤方法的第一步。未来,CoinGecko将中添加更多指标,以提高其稳健性:
1. 交易历史分析 Trade history analysis
2. API质量分析 APIquality analysis
3. 网络安全分析 Cybersecurity analysis
4. 冷热wallet分析 Hot & Cold wallet analysis
5. 社交媒体分析 Social Media analysis
6. 交易所支持周转时间 Exchange support turnover time
7. 用户评论 User Reviews
8. 许可和法规 Licensing & Regulations
资料来源:
1.CoinGeck
https://www.coingecko.com
2.ShulianRatings
http://www.shulianratings.com
3.CoinGeckoIntroduces “Trust Score” to Combat Fake Exchange Volume Data
https://blog.coingecko.com/trust-score
4.Bitwise10 Real Volume Exchanges
https://www.sec.gov/comments/sr-nysearca-2019-01/srnysearca201901-5164833-183434.pdf
5.Bid-AskSpread
https://www.investopedia.com/terms/b/bid-askspread.asp
游乐网为非赢利性网站,所展示的游戏/软件/文章内容均来自于互联网或第三方用户上传分享,版权归原作者所有,本站不承担相应法律责任。如您发现有涉嫌抄袭侵权的内容,请联系youleyoucom@outlook.com。
同类文章
YLDS价格为何长期稳定在1美元 深度解析其稳定机制与投资风险
YLDS作为一种与美元挂钩的稳定币,其价格长期锚定1美元,核心机制在于通过超额抵押资产和算法调节供需来实现价格稳定。本文解析了其通过抵押物价值支撑、套利机制维持平价以及治理代币激励等核心运作原理,并探讨了抵押资产风险、算法失效可能及监管不确定性等潜在挑战,旨在帮助用户理解其稳定背后的逻辑与暗藏的风险。
DeXe币是什么?深度解析DeXe DAO治理代币的核心价值与投资前景
DeXe是一个去中心化的社交交易和资产管理平台,其核心是让普通投资者能够复制专业交易者的策略。平台通过智能合约和代币经济模型,将交易决策与资产执行分离,确保策略透明且不可篡改。投资前需理解其运作机制、潜在风险及代币功能,它代表了Web3时代投资方式的一种创新探索。
NIGHT链上数据实战指南:交易前必看的关键指标分析
本文探讨了在NIGHT链上进行交易前,如何有效利用链上数据作为决策参考。通过分析交易量、活跃地址、大额转账等关键指标,可以构建一个初步的市场情绪与趋势判断框架。这些数据虽非预测工具,但能帮助用户避开明显风险,识别潜在机会,理解网络真实活动水平,从而做出更审慎的交易决策。
Midnight(NIGHT)币值得投资吗?全面解析其潜力与风险
本文探讨了Midnight(NIGHT)这一新兴区块链项目的核心价值与潜在风险。文章从项目背景与愿景出发,分析了其利用零知识证明技术构建数据保护型智能合约平台的独特性。随后,梳理了其代币经济模型、团队背景及当前生态进展,并客观评估了其面临的技术挑战与市场不确定性。最后,为关注者提供了如何理性追踪项目动态的实用建议。
特朗普Meme币TRUMP投资前必读:五大热门问题全解析
本文探讨了投资特朗普相关数字资产前需了解的关键信息。内容涵盖其作为文化符号的价值、市场波动性、社区共识作用及潜在风险。重点分析了此类资产与传统金融产品的区别,强调其高度依赖个人影响力与公众情绪,并提醒投资者进行独立研究、评估风险承受能力,理解其投机属性远大于传统价值投资。
- 日榜
- 周榜
- 月榜
1
2
3
4
5
6
7
8
9
10
相关攻略
2015-03-10 11:25
2015-03-10 11:05
2021-08-04 13:30
2015-03-10 11:22
2015-03-10 12:39
2022-05-16 18:57
2025-05-23 13:43
2025-05-23 14:01
热门教程
- 游戏攻略
- 安卓教程
- 苹果教程
- 电脑教程
热门话题









