布林通道指南:用布林带指标判断支撑位与压力位
本文为币安布林通道技术分析教学,在上一篇文章我们介绍了MACD 用于判断中长期趋势,今天我们要介绍另一个指标:布林通道。布林通道结合了指标分析与型态学,也是一种从均线概念中衍生出的指标,除了讲解概念外,我们也会教学如何在币安上设定布林通道。
2025年主流加密货币交易所:
- 欧易OKX >>>进入官网<<< >>>官方下载<<<
- 币安Binance >>>进入官网<<< >>>官方下载<<<
什么是布林通道(Bollinger Bands)?
布林通道是由约翰.布林格( John Bollinger )于1980 年代所提出的指标,并在2001 年出版的书中《Bollinger on Bollinger Bands》收录完整教学。
其实布林通道的概念非常简单,它结合了统计学中「标准差」的概念,在分时走势图中绘制出上轨、中轨、下轨。
「布林通道」由三条线组成,中轨线是均线MA,上下轨则是根据中轨线偏移的标准差所绘制出来的,位于价格线上下端的带状通道。
- 上轨= 中轨+ K × N时间段的标准差。
- 中轨= 过去N段时间的简单移动平均线(EMA),时间通常设定20天。
- 下轨= 中轨− K × N时间段的标准差。
按照原本设定,会取时间为20 天(N=20),和抓取两个标准差(K=2)。
你可以发现,其实布林通道的中轨,就是20 日均线(月均线),因此在初始设定上,布林通道适合用于分析大约一个月左右的交易时长。
因此总结布林通道的设定如下:
- 布林通道上限:20 日均线+ 两个标准差
- 布林通道中间:20 日均线
- 布林通道下限:20 日均线– 两个标准差
如何判读布林通道?统计学的常态分布与标准差
布林通道是结合常态分布的概念去作价格上的预判,因此我们先来小小复习一下高中的统计学概念。
什么是标准差?
在统计学上,标准差是表示数值相对于平均值的离散程度的测量概念,在一组数值中,有同样的平均值,标准差也不一定相同。
当标准差越大,就代表这组数值的分散程度越大。
以下列两个数列为例:
- 50、50、50
- 0、50、100
虽然两个数列的平均值都是50 ,但下方数列很明显彼此的离散程度较大,因此标准差也会越大。
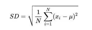
以下为标准差SD 的公式(Standard Deviation),U为平均值,X为数值,N 为取样母体。
若套入到布林通道的数值,μ就是20 日均线、χ 是过去20 天每天的收盘价、N 就是20 天,一般的网站都会内建布林通道的公式,将这些数字设定好,就会自动帮你计算出标准差。
标准差的公式不需深刻理解,只要知道标准差是一种测量不确定性的公式即可,应用于投资上,也可以作为度量投资回报的工具。
什么是常态分布?
常态分布是一种将连续变数的观察值画出的曲线,又称高斯分布,自然界中观察的各种现象经常以常态分布呈现,例如身高、体重、成绩……等等。
常态分布会以平均数μ为中心,成左右对称的钟形曲线,在以标准差(standard deviation)为单位的图形中,会有以下特性:
- 68.3%的数值,落在平均数± 1个标准差间
- 95.4%的数值,落在平均数± 2个标准差间
- 99.7%的数值,落在平均数± 3个标准差间
如果把20 日均线当作平均值μ,可以得到以下结果
- 有68.26% 的机率,价格会在1 个标准差的范围内出现。
- 有95.44% 的机率,价格会在2 个标准差的范围内出现。
- 有99.72% 的机率,价格会在3 个标准差的范围内出现。
换句话说,在布林通道的假设中(取两个标准差),根据过去20 天的价格,新的价格有95.44% 的机率会出现在上轨到下轨的范围内,超出轨道的机率只有4.56%。
因此,价格有很高的机率落在布林通到之中,套用形态学的概念,就可以把下轨当作支撑位,上轨当作压力位。
判读布林通道的三个做多与三个做空讯号
布林通道的六个操作法则相当简单,如果对均线理论熟悉的话,其实原理差不多。
以下会用比特币BTC 的走势举例说明。
做多讯号
- 价格由下向上穿越下轨线时,是买进讯号
- 价格由下向上穿越中间线时,代表股价可能加速向上,是加码买进讯号
- 价格在中间线与上轨线之间波动时,为多头市场
做空讯号
基本上就是做多讯号的相反图形:
- 价格由上向下穿过上轨线时,是卖出讯号
- 价格长时间在中间线与上轨线间后,由上往下跌破中间线,为卖出讯号
- 价格在中间线与下轨线之间向下波动时,为空头市场
你可以发现以上六个法则其实就是黄金交叉与死亡交叉的应用,其实上下轨你也可以当作是一个均线来看待(中轨的偏离值),这样想就单纯许多了。
我们之前也提过黄金交叉和死亡交叉的概念:
- 币安技术分析教学:用KD 随机指标判断价格强弱寻找买卖点
- 币安技术分析教学:均线进阶应用,从MACD 判断中长期趋势
布林带宽与布林极限指标
布林带宽指标值 :判断价格离散程度
BBW = (上轨值− 下轨值) ÷ 中轨值
「布林上轨值− 布林下轨值」其实就相当于四个标准差(因为上轨道是+2 个标准差,下轨道则是-2 个标准差),而「中轨值」就是20日均线平均值。
布林带宽正如其名,就是代表布林通道上下轨开口的幅度,可以用来表示上下轨相较于平均价格的偏离程度。
当代宽值越大,代表上下轨的幅度越大,最近价格较分散(标准差大);当代宽值越小,代表上下轨的幅度越小,最近价格较集中(标准差小)。
其实布林带宽指标就是用一个数值量化出布林通道的开口大小。根据过往经验,可以大致用以下几个准则判断:
- 紧缩型态,BBW 接近0:当布林通道处于狭窄状态一阵子,布林带宽值会一直处在低点,代表近期都在盘整。
- 开口型态,BBW 接近1:当布林通道开口由窄变宽,布林带宽值会逐渐攀升,代表最近有一波新趋势。
布林极限指标%B:判断价格强弱程度
%B值 = (收盘价− 下轨值) ÷ (上轨值− 下轨值)
从公式可以看出,%B 可以量化目前收盘价处于布林通道的相对位置,
- 当数值> 1:代表价格处于布林通道范围之上,有拉回的机会
- 当数值介于0~1:代表价格在布林通道范围内
- 当数值< 0:代表价格处于布林通道范围之下,有反弹的机会
我们可以藉由观察%B ,判断价格近期的强弱,以此做出交易的决策,
使用方法跟RSI 有点像,只不过%B 会有超过100% 和低于0% 的情况出现,RSI 则一定位于0~100% 之间。
- 币安技术分析教学:用RSI指标判断加密货币买卖力道强弱
在币安的Trading View 上使用布林极限指标
进入币安交易所后,选择一个交易对,进入Trading View 介面,以下将用 BTC / USDT 交易对做为示范。
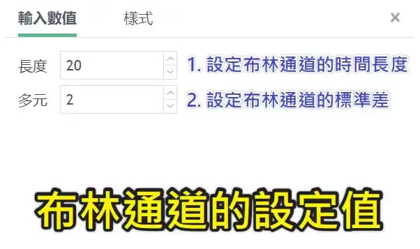
首先,按照下图步骤把布林相关指标叫出来:
接着系统就会在下方跳出两个指标「布林带宽BBW」、「布林极限指标%B」,然后在走势图上也会显示出布林通道,
按下齿轮图示的话,可以调整参数,三者的设定都是调整交易时长跟标准差。
以布林通道做示范,如上文所述,初始设定是N = 20日,K = 2 个标准差,但你可以自由更改。
回到主页后,你就能看到设定好的三个指标,并以此作为分析基准。
总结
- 布林通道是均线的衍生,结合常态分布与标准差的概念去作价格预判
- 布林通道的上轨是压力线,下轨是支撑线
- 布林通道的判断法则跟均线类似,都是以价格上下突破为原则做讯号
- 布林带宽可以分析价格离散程度;布林极限指标%B 则可以分析价格强弱程度
布林通道作为现代技术分析必学指标之一,常和MACD、RSI 等指标并用,对于分析加密货币走势也很有帮助。
如果还不是很懂布林的理论,建议可以先回去复习均线,再回来看布林通道,会有比较清楚的认识。
游乐网为非赢利性网站,所展示的游戏/软件/文章内容均来自于互联网或第三方用户上传分享,版权归原作者所有,本站不承担相应法律责任。如您发现有涉嫌抄袭侵权的内容,请联系youleyoucom@outlook.com。
同类文章
GENIUS法案推动机构融资 三大企业链获超十亿美元投资
《GENIUS法案》签署后,企业级区块链领域获密集资本注入,Circle的Arc、CantonNetwork及Stripe的Tempo三条链融资超十亿美元。其共性在于原生隐私交易设计,满足机构对交易保密的需求。法案缓解了监管不确定性,吸引高盛、贝莱德等顶级机构支持,形成与传统公链不同的发展路径,有望提升行业标准。
2026年DEX平台效率排行榜:Web3用户必看的链上兑换指南
本文梳理了2026年链上兑换效率平台的发展格局,重点关注DEX在交易速度、成本及用户体验上的核心突破。分析了聚合器、跨链桥与Layer2解决方案如何协同提升整体效率,并探讨了未来以用户为中心、安全与效率并重的发展趋势,为Web3用户提供选择参考。
Jane Street减持比特币ETF IBIT持仓锐减71%
量化巨头JaneStreet一季度大幅削减比特币相关资产敞口,对贝莱德IBIT和富达FBTC两大比特币现货ETF持仓分别环比下降约71%和60%,市值降至约2 256亿和1 15亿美元;同时其对MicroStrategy的持仓也缩减约78%。
Upbit上线Superform代币UP2 支持韩元比特币泰达币交易
韩国Upbit交易所宣布于5月14日上线Superform(UP2),并开放韩元、比特币及泰达币交易对。用户可在公告后一个半小时内开始充值准备。此举通常有助于管理新资产流动性,上线可能提升该代币的市场关注度与流动性,但加密货币波动大,投资前需独立研究并注意风险。
2026年Web3去中心化交易所盘点:哪些平台交易体验更强?
本文探讨了去中心化交易平台在2026年的发展格局,分析了其相较于中心化平台的核心优势,如资产自托管与抗审查性。重点盘点了以Uniswap为代表的自动做市商、以dYdX为代表的衍生品DEX,以及新兴的意图执行与跨链聚合协议等类别,并展望了账户抽象与零知识证明等技术对未来用户体验和隐私的深远影响。
- 日榜
- 周榜
- 月榜
1
2
3
4
5
6
7
8
9
10
相关攻略
2015-03-10 11:25
2015-03-10 11:05
2021-08-04 13:30
2015-03-10 11:22
2015-03-10 12:39
2022-05-16 18:57
2025-05-23 13:43
2025-05-23 14:01
热门教程
- 游戏攻略
- 安卓教程
- 苹果教程
- 电脑教程
热门话题













