美团开源LongCat图象模型:专攻中文场景与编辑功能
12月8日,美团LongCat团队正式宣布开源其图像生成与编辑模型LongCat-Image。这款模型拥有60亿参数,其独特之处在于采用了一套统一的架构,能够同时处理文本生成图像和基于自然语言指令进行图像编辑的任务。

模型架构解读
根据介绍,LongCat-Image采用了图文生成与图像编辑同源的混合骨干架构(MM-DiT+Single-DiT),并整合了视觉语言模型条件编码器。它的核心技术创新点主要包括:
1. 生成与编辑合二为一:模型不仅能够根据文本提示生成图像,还可以通过自然语言指令对图像进行多轮精细编辑。官方列举了包括对象添加/移除、风格迁移、背景替换、文字修改在内的15类编辑任务,并声称在多轮编辑过程中能有效保持图像风格与光照的一致性。

风格迁移与属性编辑能力对比
2. 强大的中文文本渲染能力:该模型特别强调对中文文本生成的支持,宣称能够准确处理标准汉字、生僻字以及部分书法字体,并能根据场景自动调整字体、大小和排版。在技术实现上,模型通过预训练阶段学习字形轮廓,并在后续训练中引入大量真实世界的文本图像数据,以提升其泛化与应用能力。

文字生成效果对比
3. 高效的输出与优秀质量:通过模型结构轻量化与训练策略优化,该模型宣称可在消费级GPU上实现高效推理,并生成具备“摄影棚级别”丰富细节的高质量图像。

图像生成综合能力对比
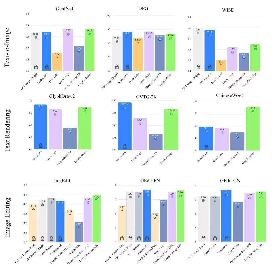
在性能评估方面,官方公布了部分基准测试数据:

1. 在图像编辑基准测试GEdit-Bench和ImgEdit-Bench中,LongCat-Image得分分别为中英文综合7.60/7.64分以及专项4.50分,均达到了开源模型中的领先水平。
2. 在中文文本渲染专项测评ChineseWord中,其得分高达90.7分。
3. 在文生图基础能力测试GenEval和DPG-Bench中,其得分分别为0.87和86.8。
目前,该模型已在GitHub平台开源,用户可以通过LongCat APP或网页端(longcat.ai)体验其功能。团队表示,此次开源旨在支持从学术研究到商业应用的全流程探索,并诚挚邀请全球开发者社区参与共建。
此次开源动作,清晰地显示了美团在AIGC领域,尤其是针对中文市场及复杂图像编辑需求的技术布局。开源策略有助于其吸引开发者构建生态,并有望在快速发展的图像生成领域建立重要的影响力。
游乐网为非赢利性网站,所展示的游戏/软件/文章内容均来自于互联网或第三方用户上传分享,版权归原作者所有,本站不承担相应法律责任。如您发现有涉嫌抄袭侵权的内容,请联系youleyoucom@outlook.com。
同类文章
中大团队攻克火箭垂直起降技术 实现国内首次低空飞行验证
中山大学团队研制的“逸仙-3号”面对称可回收液体火箭成功完成低空飞行试验,实现了悬停、机动与垂直降落。该火箭采用独特面对称构型,提升了飞行稳定性,验证了垂直起降关键技术。试验由高校主导,学生深度参与,并在粤港澳大湾区实现了产学研全链条闭环,为后续更高难度试验奠定基础。
FF发布一季度财报:机器人新品6月上市,年内目标出货1500台
法拉第未来2026年第一季度营收同比增长62%,经营亏损收窄。公司定位升级为物理AI生态系统公司,机器人业务实现生态收入与正毛利,成为新增长引擎。全年机器人出货目标上调至1500台,计划6月初发布新品,并将于近期公布五大核心变革举措。
苹果iPhone 18全系将采用自研基带芯片 告别高通时代
苹果iPhone18系列将全系搭载自研第二代4nm5G基带芯片C2,完整支持Sub-6GHz与毫米波,信号表现显著提升,尤其优化弱信号场景。Pro机型新增卫星图片传输和无信号导航功能,系统还将提供“限制精确位置”选项以加强隐私保护。此举实现了苹果对通信核心模块的全面自主掌控。
苹果深夜突然降价最新优惠信息汇总
5月15日,苹果官方渠道启动降价,iPhone17Pro系列全系直降1000元。叠加补贴后,Pro系列起售价首次进入6000元区间,标准版也迎来首次官方降价。市场数据显示,新系列各机型销量均实现两位数增长,超越前代产品,并成为拉动中国智能手机市场整体增长的关键力量。
东华测试产品服务航空航天地面试验未来将进入太空应用
东华测试在核能与航空航天领域取得关键进展。核能方面,公司产品已通过核电站高温测试,并为钍基熔盐堆研发了耐650℃高温的传感器样机。航空航天领域,其设备已用于新一代载人飞船地面试验及火箭监测,单套系统价值约200万元,并可带来持续服务收入。未来测试设备有望随航天器进入太空。
- 日榜
- 周榜
- 月榜
1
2
3
4
5
6
7
8
9
10
相关攻略
2015-03-10 11:25
2015-03-10 11:05
2021-08-04 13:30
2015-03-10 11:22
2015-03-10 12:39
2022-05-16 18:57
2025-05-23 13:43
2025-05-23 14:01
热门教程
- 游戏攻略
- 安卓教程
- 苹果教程
- 电脑教程
热门话题

