纽约大学教授AI防作弊口试:高效学术诚信方案成本仅42美分
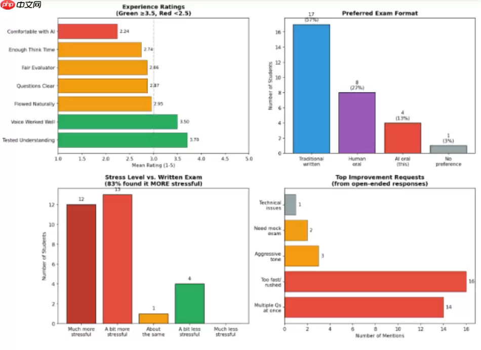
当学术诚信因人工智能的兴起而面临挑战时,纽约大学的一位教授探索了一种创新的教学评估方法。他在“AI/ML 产品管理”这门课程中,实施了一项基于人工智能的口头测试实践。这项尝试不仅揭示了学生在知识掌握上的薄弱环节,也促使教师反思自身教学设计的有效性。授课教授 Panos Ipeirotis 与联合讲师 Konstantinos Rizakos 观察到:许多提交了结构严谨、内容详实书面报告的学生,在面对即时口头问答时,却难以清晰阐述其项目中关键建模选择背后的逻辑依据。
为了突破传统纸笔考核在能力验证上的局限,两位教师构建了一套 AI 驱动的口试系统,其核心语音交互模块采用了 ElevenLabs 提供的 AI 语音代理技术。整场口试分为两个阶段:第一阶段由 AI 主动提问,涵盖学生最终项目的整体目标设定、所用数据来源与处理方式、模型选型依据、性能评估策略以及常见失效场景分析等内容;第二阶段则随机抽取课程中某一真实商业案例,要求学生即兴展开分析与回应。全部 36 名学生均在九天内陆续完成测试,单场平均用时约 25 分钟,整套方案总支出仅为 15 美元,折合每名学生成本低至 42 美分。
尽管初版 AI 口试在实际运行中暴露出若干待优化之处——例如部分学生反馈 AI 语气略显生硬、偶尔会连续抛出多个问题造成理解负担、对话节奏不够自然等——但经过数轮参数调优与提示词重构后,AI 的交互体验与响应质量均得到显著提升。在评分机制方面,研究团队引入了多模型协同评估策略,由 Claude、Gemini 和 ChatGPT 三款主流大模型分别独立打分;初期各模型间评分差异较大,但在实施交叉复核与一致性校准流程后,最终评分结果的可信度与稳定性明显增强。

尽管超六成学生表示 AI 口试带来的心理压力高于传统笔试,但高达 70% 的参与者认可该形式更能真实反映其对知识的内化程度与应用能力。Ipeirotis 教授强调,正是得益于当前 AI 技术的成熟与可及性,规模化、低成本、高效率的个性化口试才真正从构想走向落地;而学生亦可通过反复模拟与 AI 对话的过程,持续锤炼表达逻辑、强化概念理解,并逐步适应人机协同的新学习范式。
源码地址:点击下载
游乐网为非赢利性网站,所展示的游戏/软件/文章内容均来自于互联网或第三方用户上传分享,版权归原作者所有,本站不承担相应法律责任。如您发现有涉嫌抄袭侵权的内容,请联系youleyoucom@outlook.com。
同类文章
坦克700上市售价42.8万起 东方美学硬派越野新选择
坦克700正式上市,起售价42 8万元。新车设计融合东方美学与现代工业,搭载双旗舰动力与全域智驾系统,兼顾硬派越野与豪华舒适。品牌同步推出高端社交平台“麒麟荟”,致力于为用户提供超越车辆的全维度体验,标志着其从品类开创向生态深耕的战略跃迁。
Apple Watch Ultra 4传感器数量翻倍迎来重大设计革新
据供应链消息,AppleWatchUltra4预计在2024年亮相,可能迎来系列问世以来最大变化。其外观将重新设计,内置传感器数量有望翻倍,升级重点预计围绕健康监测功能展开。此外,新品可能新增基于光学心率传感器的高血压提醒功能,该功能正接受相关审查。硬件革新或将带动供应链订单显著增长。
瑞幸咖啡推出159元早八人莫吉托瞄准千亿市场
“上班喝醉了见人就打”——这句来自社交平台的调侃,最近又有了新的主角。继现象级的“酱香拿铁”之后,瑞幸咖啡再次把目光投向了“微醺”生意。5月18日,两款名为“绯色月光”和“可可维也纳”的含酒精特调饮品,将在全国门店上线。 消息一出,立刻在各大社交平台引发了热烈讨论。有人戏称这是“打工人的早八莫吉托”
创新药价值评估体系在中国正式落地实施
国家药监局发布《药品试验数据保护实施办法》,系统性构建分类数据保护框架。符合条件的药品试验数据可获得最长6年的独占保护期,期间监管机构不得依赖该数据批准仿制药。此举为创新药提供了专利外的制度保障,旨在鼓励研发投入、稳定投资预期,并推动产业向高质量创新转型。
小米人车家全生态新品发布会5月21日举行 YU7 GT等亮相
小米汽车定于5月21日晚7点发布高性能SUV车型YU7GT,主打长途驾驶乐趣。此次多品类产品集中亮相,标志着其高性能产品线落地,并深化“人车家全生态”战略。通过跨品类协同,小米持续拓宽市场边界,完善智能生活体验,其高端智能出行产品矩阵愈发清晰。
- 日榜
- 周榜
- 月榜
1
2
3
4
5
6
7
8
9
10
相关攻略
2015-03-10 11:25
2015-03-10 11:05
2021-08-04 13:30
2015-03-10 11:22
2015-03-10 12:39
2022-05-16 18:57
2025-05-23 13:43
2025-05-23 14:01
热门教程
- 游戏攻略
- 安卓教程
- 苹果教程
- 电脑教程
热门话题

