论文写作指南:邓明扬与何恺明团队分享实用生成范式
henry 发自 凹非寺
量子位 | 公众号 QbitAI
免费影视、动漫、音乐、游戏、小说资源长期稳定更新! 👉 点此立即查看 👈
刚刚,何恺明团队提出全新生成模型范式漂移模型(Drifting Models)。
这篇论文的一作也是人大附中校友,奥赛双料金牌得主邓明扬加入恺明团队的第一篇一作论文。

论文中,漂移模型将生成模型分布演化的过程从“推理阶段”转向了神经网络的“训练阶段”,实现了真正意义上的单步生成(One-step Generation)
漂移模型的核心创新在于引入了“漂移场”(Drifting Field)机制。
其通过在训练中直接对齐先验分布与真实数据分布,不仅消除了GANs中常见的对抗训练不稳定性,更彻底摆脱了流匹配(Flow Matching)或扩散模型(Diffusion)对多步ODE/SDE求解的依赖。
在ImageNet 256x256基准测试中,漂移模型在1-NFE(单步推理)下取得了1.54FID的成绩,证明了从头开始训练的单步模型在质量上完全可以媲美甚至超越经过数百步迭代的传统模型。

生成模型新范式:漂移模型
漂移模型 (Drifting Model)的核心可以总结为以下两点:
将迭代从推理转为训练:不同于扩散模型在生成时需要多次迭代(去噪),它将深度学习固有的“迭代训练过程”视为分布演化的动力,从而实现单步 (one-step) 高质量生成。利用“漂移场”趋向平衡:通过引入一个受数据吸引和自身排斥的“漂移场”作为损失函数,当生成的分布与真实数据分布完全匹配时,漂移场归零达到平衡,从而完成模型学习。
接下来,我们具体来看。
不同于侧重于样本与标签映射的判别模型,生成模型的核心在于学习分布之间的转换。
其本质是学习一个映射函数f,将简单的先验分布(如高斯噪声)转换为与真实数据匹配的推移分布(Pushforward Distribution)
目前,扩散模型(Diffusion)或流匹配模型(Flow Matching)等主流范式,将这种分布的演变放在推理阶段迭代执行。
这意味着生成一张图像需要多次调用神经网络,导致计算开销大、生成速度慢。
而漂移模型则提出了一种全新的范式:将分布的演化从推理阶段转移到了训练阶段。
这一设计的可行性植根于深度学习的本质——
神经网络的训练本身就是一个迭代优化的过程(如 SGD)
在传统的视角下,我们只关注损失函数的下降;但在漂移模型中,训练的每一轮迭代都被赋予了物理意义:模型参数的微小更新,会直接驱动输出样本在空间中产生相应的位移。
论文将这种随训练步次发生的样本位移定义为漂移(Drift)
这意味着,映射函数f随着参数不断被优化,它所产生的推移分布(Pushforward Distribution)也随之自然地发生动态演变。
换句话说,模型训练的轨迹,在本质上就等同于分布演化的路径。 既然训练过程已经完成了这一演化,推理时自然不再需要多步迭代。
由此,漂移模型将原本昂贵的迭代开销内化在了训练阶段,使得模型在推理时仅需单次前向传播(One-step generation)即可生成高质量样本。
这不仅消除了多步推理的计算负担,也避开了GANs对抗训练带来的不稳定性。
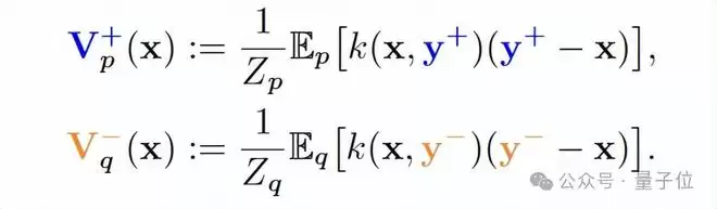
通过漂移场来引导样本移动,控制推移分布
在具体的实现上,论文引入了一个漂移场(Drifting Field)来引导样本移动,进而控制推移分布。
与流匹配(Flow Matching)在推理阶段引导样本移动的向量场(Vector Field)不同,漂移场(Drifting Field)是一个作用于训练阶段、用于刻画样本空间演化趋势的函数。

在给定样本的情况下,漂移场会计算出该位置的修正位移。
修正位移本质上是为神经网络的参数更新提供导航:通过在训练迭代中最小化漂移量,强制模型在出厂前就将输出分布与目标分布对齐,从而实现单步生成。
随着训练步数的增加,模型序列对应的推移分布会受该场驱动,逐渐向真实数据分布靠拢。
训练目标在于建立一种平衡机制:当生成的分布与真实数据分布完全匹配时,漂移场将归于零。
接下来,论文将此更新规则转化为一种基于梯度停止(Stop-gradient)的损失函数。

该损失函数并不直接对复杂的漂移场求导,而是将当前步的漂移后位置视为一个冻结的目标,驱使模型预测向该目标靠拢,从而间接最小化漂移量。
在算法层面,具体的随机训练步骤如下:
生成样本:从先验分布采样噪声,生成样本。获取参考:从数据集中采样真实样本作为正样本。计算位移:根据正、负样本的分布,计算出每个样本位置的漂移向量。优化更新:将(x+V)设为目标值(并停止梯度),更新网络参数使其输出向该目标靠拢。
此外,为了处理图像等高维数据,论文还引入了以下关键设计:
首先,该方法超越了单一的像素空间,转而利用MAE或MoCo等预训练自监督模型构建特征空间映射,在更高维的语义层面上引导分布匹配,从而显著提升了生成结果的保真度。
在此基础上,漂移场被具体实例化为吸引与排斥的动态结合

生成的样本受到真实数据分布的强力吸引以确保细节精准,同时又受到当前生成分布的排斥力,从而有效维持了样本的多样性并防止模式坍缩。

为了使这种力场估计更加精确且稳定,研究引入了指数核函数来衡量样本间的相似度,并借鉴对比学习(如InfoNCE)的思想,通过Softmax进行归一化处理。
更重要的是,该范式将分类器自由引导(CFG)机制直接内化于训练阶段:通过在计算漂移时向负样本中混入无条件的真实数据,模型在训练迭代中便自发学会了条件外推。
这种设计使得模型在推理时不再需要额外的NFE开销,仅凭单步采样就能获得极强的引导效果。”
实验结论
在实验验证环节,漂移模型在最具挑战性的ImageNet 256×256基准测试中。
该模型在单步推理(1-NFE)下表现卓越:其在潜空间(Latent space)达到了1.54 FID。在像素空间(Pixel space)则达到了1.61 FID。

这一成绩不仅刷新了单步生成的纪录,其效果甚至优于许多需要 250 步迭代推理的传统扩散模型(Diffusion)或流匹配模型(Flow Matching)。
除了图像生成,该范式在具身智能控制任务(Robot Control)中也表现出极强的泛化能力。

实验表明,其单步推理的决策质量即可匹配甚至超越需要100步推理的 Diffusion Policy,极大地降低了实时控制系统的延迟。
总结来看,漂移模型成功地将原本属于推理阶段的生成压力转移到了训练阶段,实现了真正意义上的一步到位。
这一成就不仅提供了一种不同于传统微分方程(SDE/ODE)的生成视角,更将神经网络的训练过程重新诠释为分布演变的动力机制。
论文作者简介
这篇论文的一作,是竞赛圈鼎鼎有名的邓明扬,人称“乖神”。

邓明扬出自北京人大附中,是IMO、IOI双料金牌得主,同时也是IOI历史上第三位满分选手。
他高一拿下IMO金牌,高三拿下IOI金牌,高中毕业后,他本科与博士均就读于MIT。
目前是博士二年级,师从何恺明。

在进入学术界之前,他还曾在Google DeepMind、Meta(FAIR)、Citadel Securities、Pika等机构实习。
这篇论文的其他作者,同样来头不小:
李赫,清华姚班校友,目前大三在读,曾于2025年2月至5月在 MIT何恺明课题组担任研究实习生。
黎天鸿,清华姚班校友,于2024 年9月加入何恺明课题组,担任博士后。
Yilun Du,现任哈佛大学Kempner Institute与计算机科学系助理教授,领导Embodied Minds实验室。
他本科毕业于MIT,曾任OpenAI研究员、Google DeepMind高级研究科学家,并获得 国际生物奥林匹克竞赛金牌。
论文链接:https://arxiv.org/html/2602.04770v1
项目主页:https://lambertae.github.io/projects/drifting/
游乐网为非赢利性网站,所展示的游戏/软件/文章内容均来自于互联网或第三方用户上传分享,版权归原作者所有,本站不承担相应法律责任。如您发现有涉嫌抄袭侵权的内容,请联系youleyoucom@outlook.com。
同类文章
硅谷巨头竞相投资!奶企AI项圈估值超20亿美元
新智元报道编辑:倾倾【新智元导读】这家新西兰的公司给奶牛戴上AI项圈,估值一年飙升20亿美元!Founders Fund领投,投资人抢到超额认购。它的秘密武器叫「Cowgorithm」——一套让牛自
马斯克AI创业搭子“全跑了”:真相与项目复盘
智东西3月29日报道,今天,xAI联合创始人罗斯·诺丁在社交平台X上悄然移除了自己的xAI员工认证,离开了这家以马斯克为首的AI独角兽。至此,xAI最初的12名联合创始人中,仅剩马斯克一人。诺丁的x
行业首发:OpenClaw全网刷屏,ClawManager一键收编AI龙虾大军
新智元报道编辑:KingHZ【新智元导读】研究员三个月科研对话记录一夜清零,企业敏感数据公网裸奔……全行业首个企业级OpenClaw服务器部署管理方案ClawManager问世,让OpenClaw真
甲子光年:科技如何重塑空间设计行业新价值
当“好看”成为基础门槛,头部设计公司开始把自己改造成一种新的组织:它既做创意,也做设计开源;既做项目,也做科技能力构建。矩阵纵横(Matrix Design)上海新总部的落成,正是这一产业价值锚点变
马斯克AI创业项目xAI:完整解析与未来展望
智东西作者 陈骏达编辑 李水青智东西3月29日报道,今天,xAI联合创始人罗斯·诺丁(Ross Nordeen)在社交平台X上悄然移除了自己的xAI员工认证,离开了这家以马斯克为首的AI独角兽。至此
- 日榜
- 周榜
- 月榜
相关攻略
2015-03-10 11:25
2015-03-10 11:05
2021-08-04 13:30
2015-03-10 11:22
2015-03-10 12:39
2022-05-16 18:57
2025-05-23 13:43
2025-05-23 14:01
热门教程
- 游戏攻略
- 安卓教程
- 苹果教程
- 电脑教程

