北大团队发布DeepSeek-V3.2模型:推理提速15倍,成本直降95%

头图由AI生成
智东西
作者 王涵
编辑 冰倩
智东西3月25日报道,今天,北大系AI编程创企硅心科技(aiXcoder)推出轻量级模型aiX-apply-4B,该模型支持256K上下文,参数量仅4B,一张消费级显卡即可部署。
该模型适用于企业级的代码修改场景,可自动识别修改意图、定位目标区域、保持原有格式与上下文结构,并将修改后代码应用到原始文件中。
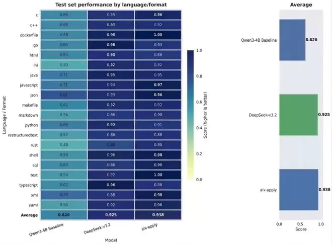
基准测试方面,aiX-apply模型在Python、Java、JavaScript、C++等主流编程语言,以及JSON、Markdown等多类型文件格式的测试中,平均准确率达到93.8%,超越Qwen3-4B基座模型62.6%的准确度,甚至高于千亿级大模型DeepSeek-V3.2。

▲基准测试对比
在企业级生产环境实测中,aiX-apply模型在单卡RTX 4090上即可运行,推理速度每秒可达2000 tokens,对比DeepSeek-V3.2则需要在八卡H200环境下部署。同一任务场景下,aiX-apply模型算力成本仅为DeepSeek-V3.2的5%,推理速度则提升15倍。
在技术上,代码合并任务以“复述原文+局部修改”为主,存在大量可复用文本片段,aiXcoder团队引入自适应投机采样技术,通过更轻量的机制预判重复片段,压缩了端到端延迟时间。
一、准确性和稳定性均比肩DeepSeek V3.2
在超长代码文件的精确编辑和跨语言环境下的代码理解与生成等场景中,aiX-apply模型都有良好的范式泛化能力。
aiXcoder团队结合真实应用场景设计了泛化性的测评维度,包括随机替换代码边界占位符、处理超长序列代码、在不完整的代码文件中进行局部编辑,以及引入训练数据中占比极低甚至未显式覆盖的编程语言。
结果表明,aiX-apply模型通过专门的强化学习训练,在多维度泛化性测评场景中,其准确性和稳定性可以与DeepSeek V3.2比肩。

▲准确度与稳定性测试对比
二、采用真实企业场景数据训练,设定双重工程约束
aiX-apply模型的训练数据源自真实企业级场景下的代码提交记录。在此基础上,aiXcoder团队引入一致性审计机制,剔除训练数据中包含模糊上下文或无法推导出修改逻辑的冗余信息,确保“代码片段”与“变更结果”之间存在绝对确定的因果关系。
这意味着模型在训练阶段接触到的都是“逻辑闭环”的高质量数据,使其能够精准建立从修改意图到代码应用位置的深度映射。
aiX-apply模型在训练时会基于高性能强化学习框架不断生成代码修改内容,并结合规则化奖励机制进行评测。系统会实时判定修改是否正确、是否越界,再把结果反馈给模型。
通过端到端闭环训练,该模型在“生成-反馈-修正”的在线强化学习中持续对齐工程约束,始终在指定区域精准操作,杜绝因“幻觉”而导致的非必要代码改动,提升代码应用的准确性与可靠性。

▲模型架构
为适配代码变更应用这一垂直工程场景,aiX-apply模型设定了双重核心工程约束来保证代码合并过程高度可控、结果可预期:
首先是非副作用约束,模型仅修改指定改动区域,区域外内容严禁变动;
然后是安全失败策略,当代码上下文锚点不唯一、无法准确定位时,模型直接输出空结果,不做猜测性修改,避免污染代码库。
结语:aiX-apply轻量化部署,降低企业落地门槛
aiX-apply模型主打低成本、高性能与易部署,在企业私有化部署与工程化落地中较有优势。
成本方面,该模型单张消费级显卡即可高效运行。其轻量化架构降低了企业使用私有化AI的门槛,便于快速将智能化能力融入研发流程。
研发效率上,aiX-apply支持256K上下文,吞吐量达每秒2000 tokens,可在大规模代码库中完成实时、精准的自动化代码修复与集成。
工程可控性层面,该模型有效减少了AI幻觉引发的错误修改,降低人工审核成本与线上故障概率,能够提升企业研发流程的稳定性与规范性。
游乐网为非赢利性网站,所展示的游戏/软件/文章内容均来自于互联网或第三方用户上传分享,版权归原作者所有,本站不承担相应法律责任。如您发现有涉嫌抄袭侵权的内容,请联系youleyoucom@outlook.com。
同类文章
蔡司6月2日发布新品镜头技术迎来重大突破
蔡司宣布将于6月2日发布一款新镜头,并称其为镜头技术的重大突破,标志着全新纪元的开启。官方仅公布了产品剪影,但措辞暗示其可能带来根本性的技术升级,例如全新光学结构、先进镀膜或对焦系统改进。具体细节需待发布日揭晓。
神舟二十三号飞船将携带九项科学实验进驻中国空间站
据中国科学院空间应用工程与技术中心最新消息,神舟二十三号载人飞船即将发射升空,计划携带总计9项前沿科学实验项目进驻中国空间站。此次上行实验的样品及配套装置总重约54公斤,实验材料种类丰富,涵盖了肝脏细胞、水稻与拟南芥种子、纳米酶、放线菌以及钙钛矿太阳能电池等关键领域,旨在利用空间站独特环境开展多学科
香港女警黎家盈任载荷专家 资讯科技专长助力航天任务
5月23日上午,酒泉卫星发射中心举行神舟二十三号载人飞行任务新闻发布会,正式宣布任务计划。根据安排,神舟二十三号载人飞船将于北京时间5月24日23时08分准时发射升空。 本次飞行乘组的组成备受瞩目。神舟二十三号任务乘组由指令长朱杨柱、航天员张志远以及来自中国香港的载荷专家黎家盈共同构成。这标志着中国
苹果Beats新款头戴耳机通过FCC认证即将上市
美国联邦通信委员会数据库出现一款型号为A3577的蓝牙头戴式耳机,并非已知的AirPodsMax2。目前公开信息极少,仅有一张普通耳机耳罩图片。推测其可能属于苹果旗下Beats品牌的新一代产品,如BeatsStudioPro的更新型号,但具体身份仍有待后续信息确认。
永辉超市转型裁员三万人 CEO涨薪引争议
永辉超市因大连御锦拖欠股权转让尾款36亿余元申请强制执行,担保人王健林承担连带责任。永辉近年推行“胖改”后关店裁员约三万人,CEO薪酬却大幅上涨。追债成功与否存疑,万达自身债务压力使款项回收难度极大。此事关乎永辉现金流,已成为生存攸关的紧迫问题。
- 日榜
- 周榜
- 月榜
1
2
3
4
5
6
7
8
9
10
相关攻略
2015-03-10 11:25
2015-03-10 11:05
2021-08-04 13:30
2015-03-10 11:22
2015-03-10 12:39
2022-05-16 18:57
2025-05-23 13:43
2025-05-23 14:01
热门教程
- 游戏攻略
- 安卓教程
- 苹果教程
- 电脑教程
热门话题

