终末阵线伊诺贝塔英雄养成攻略
终末阵线伊诺贝塔英雄养成是这个游戏中最重要的一个内容,在游戏中的提升对于我们来说是非常的重要的,其中英雄的升级算是比较简单的,下面小编带来的就是终末阵线伊诺贝塔英雄升级经验计算,看看我们在游戏中该怎么样才能够让我们呢的战斗力变得更加的强大吧。
免费影视、动漫、音乐、游戏、小说资源长期稳定更新! 👉 点此立即查看 👈
1、 人物升级(所需资源:联合币、研修课程)
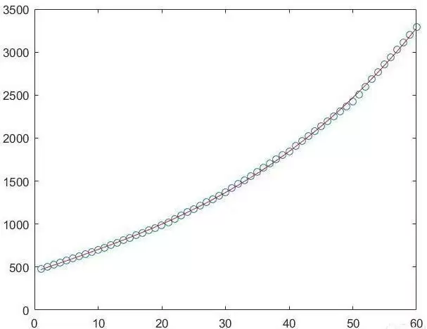
由于游戏中人物成长模型较为简练,因此我收集了人物的升级数据后用MATLAB拟合出了人物成长回归曲线。
SSR骑士的回归方程为:Y=0.0061X 3-0.0014X 2+25.2558X+445.5721
经验证,拟合回归方程的误差数值在5以内,可以认为方程有效。

(SSR骑士)
从图中我们可以直观的看到,骑士升级并不存在显著的边际效益递减,因此从长期来说,升级是对人物成长收益最高的系统,建议玩家将其优先级设为最高。
2、 基因改造(所需资源:联合币,芯片,序列)
在第一阶的基因改造中,除了技能升级外,总共提供了900点耐久以及300点攻击,相当于SSR人物前三十级成长收益总和。
而如此高的收益,只需要24000联合币以及16个微型芯片。因此,基因改造虽然存在边际递减的现象,但在前期高的惊人的收益足以让玩家将其列为第二优先级的成长系统。

想了解最新最热手游攻略秘籍,这里每天都有最新的资讯等你来看!敬请关注“游乐网”。
游乐网为非赢利性网站,所展示的游戏/软件/文章内容均来自于互联网或第三方用户上传分享,版权归原作者所有,本站不承担相应法律责任。如您发现有涉嫌抄袭侵权的内容,请联系youleyoucom@outlook.com。
同类文章
反恐精英OL官网首页入口在哪 反恐精英OL官网首页入口
《反恐精英OL》正式首页入口在哪里?相信有不少小伙伴还不知道反恐精英OL正式入口在哪里,接下来小编就给大家带来反恐精英OL首页入口分享,快来一起看看吧。《反恐精英OL》正式首页网址入口:反恐精英On
红色沙漠传奇坐骑银牙获取位置 红色沙漠传奇坐骑银牙获取方法
在红色沙漠中,传奇坐骑银牙在埃尔南德凶狼之森击败黑牙后,于贤者峰刷新,击败剥皮得银牙利齿,找女巫制作符咒使用后即可在坐骑轮盘解锁召唤,为可攻击、进城不警戒的永久坐骑。红色沙漠传奇坐骑银牙获取位置及方
红色沙漠保险箱位置及解谜攻略 利贝坦修道院保险箱解谜
红色沙漠中,德梅尼斯 - 利贝坦修道院内的书架城堡拼图保险箱,需触发大型书架机关进入隐藏房间找到,解谜时按 3 下、2 右、1 右、4 上、5 左、2 下、1 右、4 上、5 左、6 左的顺序移动
西游Ⅲ官网首页入口在哪 西游Ⅲ官网首页入口
《西游Ⅲ》正式首页入口在哪里?相信有不少小伙伴还不知道西游Ⅲ正式入口在哪里,接下来小编就给大家带来西游Ⅲ首页入口分享,快来一起看看吧。《西游Ⅲ》正式首页网址入口:西游3_经典回合制端游_游戏玩家点击
杀戮尖塔2精神过载卡牌有什么用 精神过载卡牌图鉴效果
杀戮尖塔2中有各种稀有度、耗能、能力效果的卡牌,精神过载卡牌是亡灵契约师的一张稀有能力牌,升级前后耗能都为0,效果是立即获得大量能量并抽牌,但作为代价,每回合开始时自身获得灾厄。杀戮尖塔2精神过载卡
- 日榜
- 周榜
- 月榜
相关攻略
2015-03-10 11:25
2015-03-10 11:05
2021-08-04 13:30
2015-03-10 11:22
2015-03-10 12:39
2022-05-16 18:57
2025-05-23 13:43
2025-05-23 14:01
热门教程
- 游戏攻略
- 安卓教程
- 苹果教程
- 电脑教程
热门话题

