终末阵线伊诺贝塔武器升级推荐
终末阵线伊诺贝塔武器升级是提升属※非常有用的一个功能,对于我们来说,一个强大的武器等级一定要足够的高才能够发挥出全部的战斗力,其中的攻击力的提升就和武器的等级有着密不可分的关系,下面小编带来的就是终末阵线伊诺贝塔武器升级推荐,一起来看看吧!
免费影视、动漫、音乐、游戏、小说资源长期稳定更新! 👉 点此立即查看 👈
1、 武器升级(所需资源:联合币,武器芯片)
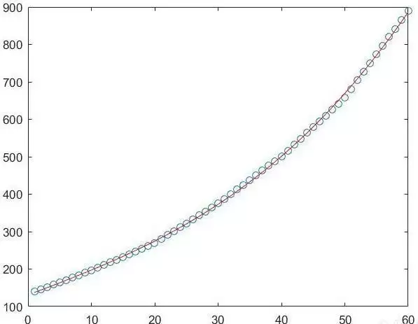
与人物升级相同,我收集了武器强化数据后利用MATLAB拟合出了武器成长回归曲线。
SSR武器的回归方程为:Y=0.0016X 3-0.0086X 2+6.3841X+131.0294
经验证,拟合回归方程的误差数值在5以内,可以认为方程有效。

从图上我们可以直观的看出,武器同样不存在明显的边际收益递减,因此在前期武器升级是收益最高的成长系统。
值得一提的是,60级之后,武器升级所需资源大大增加,以SSR武器与SSR人物强化为例比较:

两相比较,单以攻击力而言人物强化的收益便是武器强化的(336/552400*1080000/273=)2.4倍。
因此,武器强化至60级之后建议将其优先级下调。
想了解最新最热手游攻略秘籍,这里每天都有最新的资讯等你来看!敬请关注“游乐网”。
游乐网为非赢利性网站,所展示的游戏/软件/文章内容均来自于互联网或第三方用户上传分享,版权归原作者所有,本站不承担相应法律责任。如您发现有涉嫌抄袭侵权的内容,请联系youleyoucom@outlook.com。
同类文章
反恐精英OL官网首页入口在哪 反恐精英OL官网首页入口
《反恐精英OL》正式首页入口在哪里?相信有不少小伙伴还不知道反恐精英OL正式入口在哪里,接下来小编就给大家带来反恐精英OL首页入口分享,快来一起看看吧。《反恐精英OL》正式首页网址入口:反恐精英On
红色沙漠传奇坐骑银牙获取位置 红色沙漠传奇坐骑银牙获取方法
在红色沙漠中,传奇坐骑银牙在埃尔南德凶狼之森击败黑牙后,于贤者峰刷新,击败剥皮得银牙利齿,找女巫制作符咒使用后即可在坐骑轮盘解锁召唤,为可攻击、进城不警戒的永久坐骑。红色沙漠传奇坐骑银牙获取位置及方
红色沙漠保险箱位置及解谜攻略 利贝坦修道院保险箱解谜
红色沙漠中,德梅尼斯 - 利贝坦修道院内的书架城堡拼图保险箱,需触发大型书架机关进入隐藏房间找到,解谜时按 3 下、2 右、1 右、4 上、5 左、2 下、1 右、4 上、5 左、6 左的顺序移动
西游Ⅲ官网首页入口在哪 西游Ⅲ官网首页入口
《西游Ⅲ》正式首页入口在哪里?相信有不少小伙伴还不知道西游Ⅲ正式入口在哪里,接下来小编就给大家带来西游Ⅲ首页入口分享,快来一起看看吧。《西游Ⅲ》正式首页网址入口:西游3_经典回合制端游_游戏玩家点击
杀戮尖塔2精神过载卡牌有什么用 精神过载卡牌图鉴效果
杀戮尖塔2中有各种稀有度、耗能、能力效果的卡牌,精神过载卡牌是亡灵契约师的一张稀有能力牌,升级前后耗能都为0,效果是立即获得大量能量并抽牌,但作为代价,每回合开始时自身获得灾厄。杀戮尖塔2精神过载卡
- 日榜
- 周榜
- 月榜
相关攻略
2015-03-10 11:25
2015-03-10 11:05
2021-08-04 13:30
2015-03-10 11:22
2015-03-10 12:39
2022-05-16 18:57
2025-05-23 13:43
2025-05-23 14:01
热门教程
- 游戏攻略
- 安卓教程
- 苹果教程
- 电脑教程
热门话题

