GPT-5 Pro实现数学研究突破:独立解读论文并优化边界,OpenAI总裁称其展现“生命迹象”
AI 已经能够自主思考并证明新的数学规律了?OpenAI 研究人员表示,自己喂给 GPT-5 Pro 一篇论文,结果模型读完之后得到了新的结论。
免费影视、动漫、音乐、游戏、小说资源长期稳定更新! 👉 点此立即查看 👈
在凸优化问题当中,GPT-5 Pro 针对一个边界问题,给出了比原文更加精确的阈值和相应证明。消息立即引发全网热议,不到半天推文就有 230 多万次阅读。

不过这位研究人员并没有将 GPT-5 Pro 的研究成果发表成论文,理由是被人类抢先了 —— 这篇论文后来又更新了一个版本,给出了新的边界,这个新的边界又把 GPT-5 Pro 反超了。
但是,GPT-5 Pro 的证明思路与此并不相同,说明它已经具备了独立探索的能力,所以人类的反攻也不影响这是 GPT-5 Pro 的一个新突破。OpenAI 总裁 Brockman 甚至将这一成果称之为“生命迹象”。

凸优化曲线是凸的吗?
喂给 GPT-5 Pro 的这篇论文,研究的是凸优化(convex optimization)问题,凸优化是数学最优化的一个子领域,研究定义于凸集中的凸函数最小化的问题。
具体来说,这篇论文题目为《凸优化曲线是凸的吗?》,研究了这样的一个问题:
当使用梯度下降算法优化光滑凸函数时,其产生的优化曲线(optimization curve)是否是凸的?
这里的“优化曲线”指的是函数值 f (x_n) 随迭代次数 n 变化的曲线。如果这条曲线是凸的,意味着优化速率(即相邻两次迭代的函数值下降量)是单调递减的。

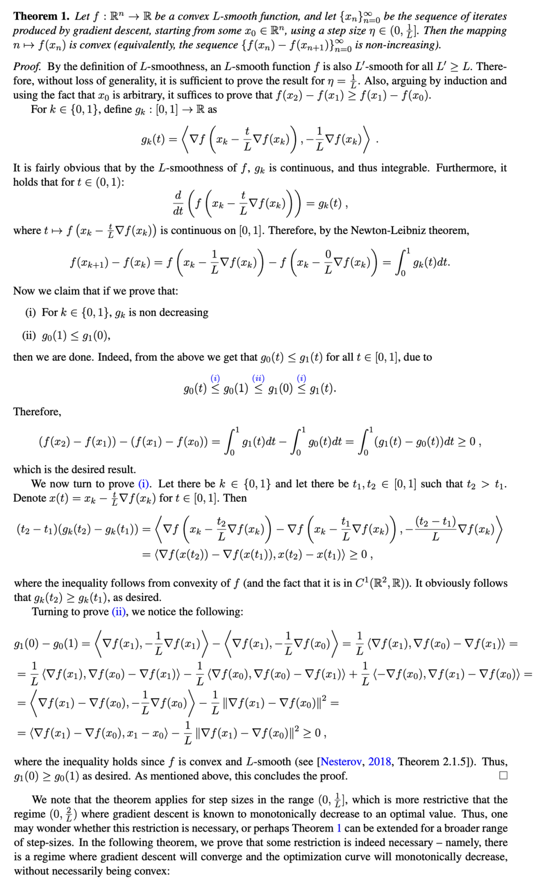
关于这个问题,论文的结论是优化曲线凸不凸,关键取决于步长(step size)的选择,具体包括如下几个关键点:
凸性保证区间:当步长 η ∈ (0, 1 / L] 时(L 为平滑度),优化曲线保证是凸的;
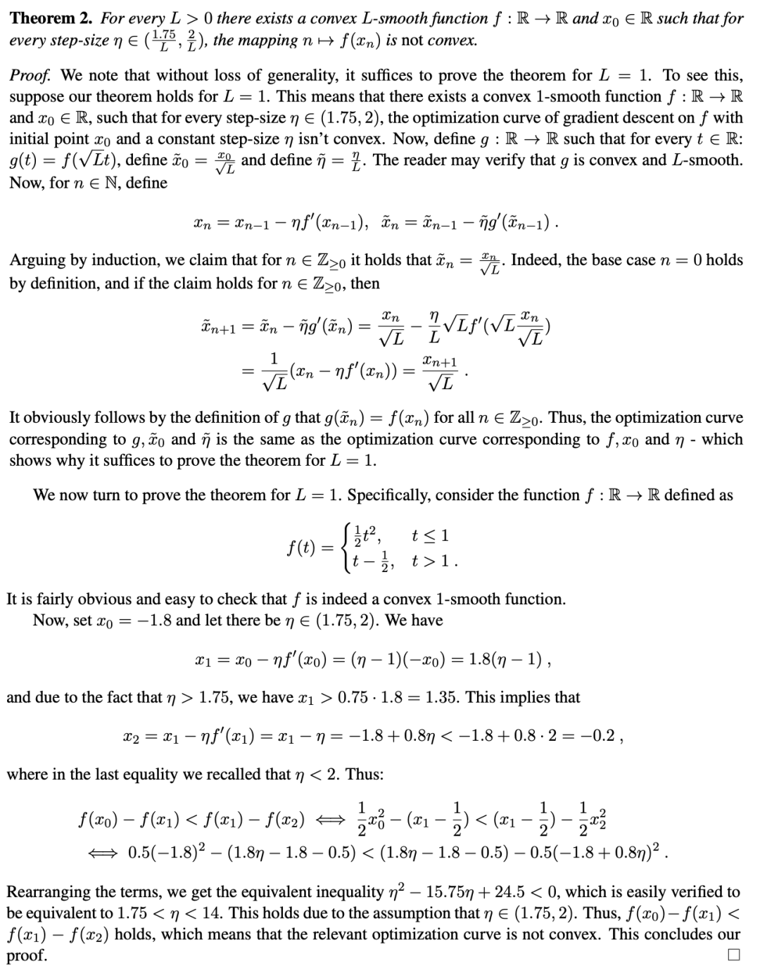
非凸可能区间:当步长 η ∈ (1.75 / L, 2 / L) 时,即使梯度下降仍单调收敛,优化曲线可能不是凸的;
梯度范数性质:对于整个收敛区间 η ∈ (0, 2 / L],梯度范数序列 ||∇f (x_n)|| 总是单调递减的;
二阶可导凸函数的梯度流凸性:对于凸且二阶连续可导的函数,梯度流的优化曲线总是凸的;
光滑凸函数的梯度流凸性:对于凸 L-光滑函数(不要求二阶可导),梯度流的优化曲线总是凸的;
梯度流的梯度范数单调性:对于连续时间的梯度流,优化曲线总是凸的;
关于第一个结论,证明的核心是证明序列 {f (x_n) - f [(x_(n+1)]} 非递增。
论文作者巧妙地引入辅助函数 g_k (t),将离散的迭代过程转化为连续函数的积分,利用凸函数的性质证明辅助函数的单调性,通过比较相邻两个辅助函数的大小关系,最终证明优化曲线的凸性。

非凸可能区间部分则是构造一个分段函数(二次函数和线性函数的组合)作为反例实现证明。
作者选择特定的初始点 x_0 = -1.8,通过直接计算前三步迭代的函数值下降量,验证在该步长范围内,后面的下降量反而比前面大,违反了凸性要求。

由于 GPT-5 Pro 的证明主要针对的是边界问题,后面四个结论的证明过程在这里就不详细介绍了,感兴趣的话可以阅读原论文。
GPT-5 Pro 给出新边界
在论文的第一版中,作者分别证明了步长不大于 1 / L 和大于 1.75 / L 时的情况,但在 (1 / L, 1.75 / L] 范围内则未有定论。
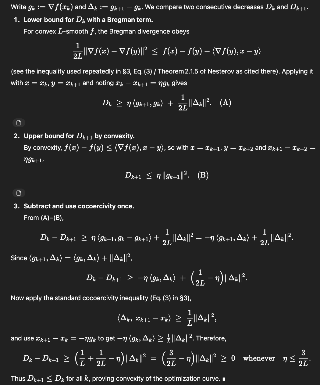
GPT-5 Pro 则是通过更精细的不等式技巧,用 17 分半的时间把 1 / L 这个边界移动到了 1.5 / L。
而人类检查证明过程的时间,是 25 分钟,GPT-5 Pro 读论文并进行证明的时间还要长。

其核心思路与原论文相似,均是将优化曲线凸性问题转化为证明函数值下降量递减。
但 GPT-5 Pro 巧妙运用了凸 L-光滑函数的两个基本不等式 ——Bregman 散度不等式(提供更紧的下界)和标准的共强制性(cocoercivity)不等式。
通过这种巧妙的代数操作,GPT-5 Pro 成功将凸性条件进一步细化。

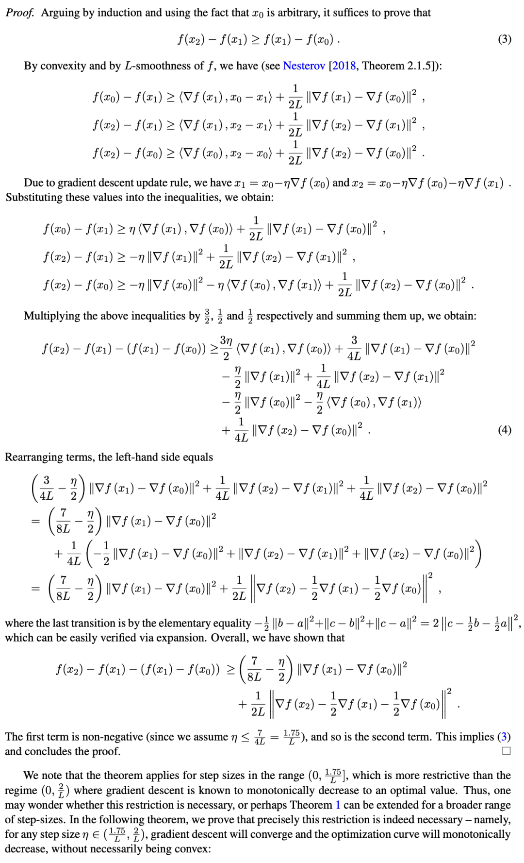
再之后,GPT-5 Pro 的发现还未来得及发表,论文原作者就对论文进行了更新,作者新增了一名,关键是证明了 1.75 / L 就是一个精确界限,之前未探索的区间实现了闭合。
其思路是利用凸 L-光滑函数的 Bregman 散度不等式,对三个点对 (x_0,x_1)、(x_1,x_2) 和 (x_0,x_2) 分别建立不等式,之后将三个不等式分别乘以不同权重后求和,并通过恒等式将复杂的梯度项组合化简。

虽然 GPT-5 Pro 给出的证明最后被人类扳回一城,但是,其思路和过程与新版论文不同。
也就是说,GPT-5 Pro 并不是发现了新论文才实现边界的精确化,而是确实具备了自主发现并证明数学规律的能力。
参考链接:
[1]https://x.com/SebastienBubeck/status/1958198661139009862
[2]https://arxiv.org/abs/2503.10138v1
[3]https://arxiv.org/abs/2503.10138v2
本文来自微信公众号:量子位(ID:QbitAI),作者:克雷西
游乐网为非赢利性网站,所展示的游戏/软件/文章内容均来自于互联网或第三方用户上传分享,版权归原作者所有,本站不承担相应法律责任。如您发现有涉嫌抄袭侵权的内容,请联系youleyoucom@outlook.com。
同类文章
AI能从单份血样检出多种神经疾病
来源:科技日报科技日报讯 (记者刘霞)由瑞典隆德大学领衔的国际研究团队,研发出一款新的人工智能(AI)模型。该模型仅需一份血液样本,便能精准识别多种神经退行性疾病。团队期望,该AI模型未来能实现“一
褪去虚火,脑机接口方能释放长远价值
来源:科技日报2026年开年,马斯克宣称脑机接口产品将于年内启动量产,引爆全球市场情绪。国内资本随即扎堆追捧,脑机接口相关概念股大幅走高,行业短期炒作虚火蔓延。进入3月,脑机接口迎来多重利好:脑机接
黎万强、洪锋退出小米科技股东名单
人民财讯4月7日电,企查查APP显示,近日,小米科技有限责任公司发生工商变更,原股东小米联合创始人黎万强、洪锋退出,同时,注册资本由18 5亿元减至约14 8亿元。 企查查信息显示,该公司成立于20
新闻分析|“阿耳忒弥斯2号”任务为何只绕月不登月
新华社北京4月7日电 新闻分析|“阿耳忒弥斯2号”任务为何只绕月不登月 新华社记者张晓茹 美国东部时间6日18时40分许(北京时间7日6时40分许),执行美国“阿耳忒弥斯2号”载人绕月飞行任
“链接未来·智汇静安”区块链创新应用优秀场景分享(四)| 信医基于区块链与隐私计算的真实世界研究数据产品
聚焦数字技术,释放创新动能。为集中展示静安区区块链技术从“实验室”走向“应用场”的丰硕成果,挖掘一批可复制、可推广的行业解决方案,加速构建区块链产业生态闭环,静安区数据局特推出“静安区区块链创新应用
- 日榜
- 周榜
- 月榜
相关攻略
2015-03-10 11:25
2015-03-10 11:05
2021-08-04 13:30
2015-03-10 11:22
2015-03-10 12:39
2022-05-16 18:57
2025-05-23 13:43
2025-05-23 14:01
热门教程
- 游戏攻略
- 安卓教程
- 苹果教程
- 电脑教程
热门话题

