真·博士水平,GPT-5首次给出第四矩定理显式收敛率,数学教授只点拨了一下
GPT-5真不愧是博士水平的AI!
免费影视、动漫、音乐、游戏、小说资源长期稳定更新! 👉 点此立即查看 👈
在数学教授引导下,它首次将定性的第四矩定理扩展为带有显式收敛率的定量形式。
简单来讲就是,原来的定理仅说明收敛会发生,却没有给出具体速度,而借助GPT-5,这项研究首次明确了收敛速率。

OpenAI联合创始人Greg Brockman对此表示甚是欣慰。

网友同样表示,真是奇迹。

借助GPT-5解决第四矩定理的定量收敛率
上个月,OpenAI研究人员Sebastien Bubeck称,GPT-5 Pro在数分钟内解决了凸优化领域的一个开放性问题,将已知的边界值从1/L改进为1.5/L。

受此启发,三位数学教授在Malliavin–Stein框架下开展了一项对照实验。
目标在于考察GPT-5能否突破既有成果,将定性的第四矩定理推广为带有显式收敛率的定量形式,并涵盖高斯情形与泊松情形。
首先,研究人员从以下初始提示开始:
论文2502.03596v1建立了一个定性的第四矩定理,适用于两个Wiener–Itô积分(阶数分别为p和q)的和,其中p和q的奇偶性不同。
基于Malliavin–Stein方法(具体可参见1203.4147v3),你能否推导出一个针对总变差距离的定量版本,其收敛速率仅依赖于该和的第四阶累积量?
麻 将
(具体分析步骤已省略,感兴趣的读者可阅读原论文。)
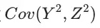
第一次互动效果非常显著,GPT-5给出了总体正确的结论,并采用了恰当的工具和方法。
然而,它在推理过程中出现了错误,导致

的表达式不正确,如果不加以纠正,可能会使整个证明失效。
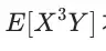
发现这一点后,研究者随后提出了新的问题:
你能检查一下你给出的
公式,并提供详细推导吗?
麻 将GPT-5照做了,提供了所需的详细信息。然而,公式依然不正确,附带的解释也有误。随后,研究人员更准确地指出了其中的错误:
我认为你在声称
时有误。为什么会是这样呢?
麻 将GPT-5最终承认该说法是错误的。但更重要的是,它理解了错误的来源。随后,继续给出了正确的推理过程和公式。

随后,应研究者的要求,GPT-5将最终结果整理成论文的格式,包括引言、主要定理的陈述、完整且正确的证明过程,以及参考文献。具体提示语如下:
请将此整理成一篇可投稿的研究论文,遵循我的风格(见附带论文0705.0570v4):
以引言开始,提供一定的背景信息;
接着陈述主要结果,并给出非常详细的证明,确保每一步都完整;
最后附上完整的参考文献。
最终文档应为一个可编译的LaTeX文件。
麻 将最后,研究人员还让它增加一个结论部分,讨论该结果在未来研究中可能的拓展方向。
你能添加一个“结论与展望”部分吗?在其中总结主要内容,并提出未来研究可能的方向或拓展思路。
麻 将GPT-5依旧很听话,提出这个方法甚至可以推广到非高斯框架中。
扩展到泊松情形
基于这一建议,研究人员决定继续深入研究,尝试将其推广到泊松情形。
由于这时研究者发现上下文窗口已经相当长,可能会影响其性能,于是他们开启了一个新对话,并使用了如下提示:
这里有一篇论文(2502.03596v1),证明了两个奇偶性不同的Wiener–Itô积分之和的第四矩定理。我希望你能将其推广到泊松情形,使用论文1707.01889v2中包含的思路。
麻 将
在这个新对话中,GPT-5很快就识别出了泊松情形与高斯情形的结构性差异,提出:当X和Y是不同阶的泊松积分时,混合期望

不一定为零。
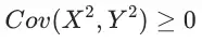
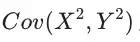
但同时,它也完全忽略了一个重要事实,就是即使在泊松情形下,也仍然有

。
随后,研究者试图通过提问来引导GPT-5进入正轨。
在论文1707.01889v2中,难道没有任何内容可以表明
总是非负的吗?
麻 将但是,由于研究者问的问题是开放性的,这还不足以触发正确的思路。GPT-5非常自信地回答道:“没有”,随后给出了一个不太令人信服的解释。
然而,一旦研究者指出具体信息:
那 (2.4) 呢?
麻 将GPT-5就能立刻将非负性考虑进去,并在研究者提出问题后,重新表述了定理。

One More Thing
有趣的是,作者最开始想将GPT-5列为共同作者提交论文,几个小时后,arXiv告诉他们,政策禁止将AI列为作者。
最后,他们只能提交作者列表中不含GPT-5的论文。

论文链接:https://arxiv.org/pdf/2509.03065v1
参考链接:
[1]https://x.com/gdb/status/1964474141295464675
[2]https://www.linkedin.com/posts/ivan-nourdin-61698a131_mathematical-research-with-gpt-5-activity-7368607852220805120-qLJA/?utm_source=share&utm_medium=member_desktop&rcm=ACoAAAzTDtoBh8KeVDRAqwRd0mUwfVpwfyirm80
[3]https://arxiv.org/abs/2502.03596[4]https://arxiv.org/pdf/1707.01889
游乐网为非赢利性网站,所展示的游戏/软件/文章内容均来自于互联网或第三方用户上传分享,版权归原作者所有,本站不承担相应法律责任。如您发现有涉嫌抄袭侵权的内容,请联系youleyoucom@outlook.com。
同类文章
AI能从单份血样检出多种神经疾病
来源:科技日报科技日报讯 (记者刘霞)由瑞典隆德大学领衔的国际研究团队,研发出一款新的人工智能(AI)模型。该模型仅需一份血液样本,便能精准识别多种神经退行性疾病。团队期望,该AI模型未来能实现“一
褪去虚火,脑机接口方能释放长远价值
来源:科技日报2026年开年,马斯克宣称脑机接口产品将于年内启动量产,引爆全球市场情绪。国内资本随即扎堆追捧,脑机接口相关概念股大幅走高,行业短期炒作虚火蔓延。进入3月,脑机接口迎来多重利好:脑机接
黎万强、洪锋退出小米科技股东名单
人民财讯4月7日电,企查查APP显示,近日,小米科技有限责任公司发生工商变更,原股东小米联合创始人黎万强、洪锋退出,同时,注册资本由18 5亿元减至约14 8亿元。 企查查信息显示,该公司成立于20
新闻分析|“阿耳忒弥斯2号”任务为何只绕月不登月
新华社北京4月7日电 新闻分析|“阿耳忒弥斯2号”任务为何只绕月不登月 新华社记者张晓茹 美国东部时间6日18时40分许(北京时间7日6时40分许),执行美国“阿耳忒弥斯2号”载人绕月飞行任
“链接未来·智汇静安”区块链创新应用优秀场景分享(四)| 信医基于区块链与隐私计算的真实世界研究数据产品
聚焦数字技术,释放创新动能。为集中展示静安区区块链技术从“实验室”走向“应用场”的丰硕成果,挖掘一批可复制、可推广的行业解决方案,加速构建区块链产业生态闭环,静安区数据局特推出“静安区区块链创新应用
- 日榜
- 周榜
- 月榜
相关攻略
2015-03-10 11:25
2015-03-10 11:05
2021-08-04 13:30
2015-03-10 11:22
2015-03-10 12:39
2022-05-16 18:57
2025-05-23 13:43
2025-05-23 14:01
热门教程
- 游戏攻略
- 安卓教程
- 苹果教程
- 电脑教程
热门话题

