KD指标解析:巧用随机指标KD判断买卖点
KD 指标是用来分析价格的强弱以及预测价格反转信号的技术分析方法,也是目前多数加密货币投资者在币安上用来判断价格的方法。本篇文章我将会讲解KD 指标的意义、操作与实际应用,也会搭配币安Binance 的Tradeview 图表进行加密货币价格判断的实际操作。
2025年主流加密货币交易所:
- 欧易OKX >>>进入官网<<< >>>官方下载<<<
- 币安Binance >>>进入官网<<< >>>官方下载<<<
| | 意义 | 内容 |
| RSV | 未成熟随机指标 | 表示一段时间内价格的相对强弱 |
| KD指标 | 随机指标 | 经过RSV加权平均后的数值,同样表示一段时间内价格的相对强弱 |
| 超买区 | KD > 80 | 市场过热,为放空讯号 |
| 超卖区 | KD < 20 | 市场过冷,为买进讯号 |
| 黄金交叉 | K值由下往上超越D值 | 一段时间内,价格将持续上涨 |
| 死亡交叉 | K值由上往下跌破D值 | 一段时间内,价格将持续下跌 |
| KD钝化 | KD值长期在超买/超卖区 | KD值失去参考意义 |
| KD背离 | KD走势与价格走势相反 | 通常暗示价格即将反转 |
什么是KD 指标?(Stochastic Oscillator)
上一篇文章,我们介绍的移动平均线的使用方法:
- 币安技术分析教学:移动平均线MA (Moving Average)、葛兰威尔八大法则
今天我们会介绍另一个基本的技术分析指标,KD 指标。
KD指标的中文,指的是「随机指标」。
随机,指的是价格在一段时间内相较于价格上下范围的比例。
KD 指标可以看出一些事情:
- 目前价格的相对强弱
- 目前市场的情绪
在使用上,KD 指标是基于以下前提:
- 上涨时,当日收盘价总是朝向当日价格波动最高价接近。
- 下跌时,当日收盘价总是朝向当日价格波动最低价接近。
在了解KD 指标之前,我们要先认识RSV (Raw Stochastic Value,未成熟随机指标),
因为KD 指标其实是从RSV 衍生出来的数值,两者概念上是相同的。
RSV指标与KD指标
RSV指标
RSV 的原理很简单,他是求出「目前价格」相较于过去一段时间其最高价、最低价的强弱:
- C n:目前价格
- H n:过去n 天内最高价
- L n:过去n 天内最低价
当RSV 接近100%,就表示收盘价接近过去一段时间的最高点,我们通常会说RSV 高表示最近价格很强。
当RSV接近0%,就表示收盘价接近过去一段时间内的最低点,我们通常会说RSV 低表示最近价格很弱。
简单地说,RSV 越接近100%,则越强,越接近0%,越弱。
KD指标
那什么是KD 值呢?其实他是从RSV 衍生算出的数值,概念上是相同的。
KD 指标又可以拆为K 值和D 值:
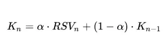
K值
首先我们先知道,K值是由RSV 计算出来的数据,原理是取「昨日的K 值」和「今日的RSV」去做加权平均。
权重我们通常会取三等份,两等份给昨日K 值,一等份给今日RSV (这代表昨日K值影响力会大于今日的RSV),
K 值的详细计算公式如下:
- α:权重分配,α 越大,受当日价格影响越大,我们通常带入1/3。
- K n-1:昨日K值
- K n:今日K值
- RSV n:今日RSV
从公式你可以发现,当α = 1 时,K 值其实就会等于RSV。
由于K 值对于价格变动的反应较为灵敏,因此称为快线。
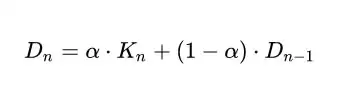
D值
K 值是RSV和昨日K 值的加权平均,而D 值则是K 值和昨日D 的加权平均。
详细计算公式如下:
- α:权重分配,α 越大,受当日K 值影响越大,我们通常带入1/3。
- D n-1:昨日D 值
- D n:今日D 值
- K n:今日K 值
当α = 1 时,D 值其实就会等于K 值。
D 值对于价格变动的反应较为缓慢,因此称为慢线。
简单整理一下你会发现以下的路径:价格强弱影响RSV,RSV影响K值,K 值影响D值。
这就是KD 指标的计算原理。
那为何我们不直接使用RSV 指标,而是要改用KD 指标呢?
答案是:「因为RSV 太容易受到价格波动影响。」
假设今天价格突破了过去一段时间内的新高点,RSV 就会大于100%;相反地,价格如果创新低,RSV 就会变成负值,这样在实务上使用会有些麻烦。
另外RSV 对于价格变动太过灵敏,想要以此作为买卖讯号杂讯实在过多,因此才会衍生出经过加权平滑的KD 指标。
了解了KD 的原理后,接下来我们来KD 指标该怎么实际运用,简单列出市场常用的法则。
PS 这些经验法则不代表百分之百的胜率,实际运用上还是要搭配其他指标,以及透过经验来调整自己的投资策略。
- 超买与超卖
- 黄金交叉与死亡交叉
- 钝化与背离
KD 指标的超买与超卖
KD 值的范围是0 ~ 100 %,和RSV 一样。
当数值越高,代表市场越乐观;数值越低,则代表市场悲观;若处在50% 左右,则代表多空平衡。
因此我们可以用这个原理去判断市场的情绪。
当KD 值> 80% 以上,代表市场过热,一般称为超买阶段,可以考虑放空。
当KD 值< 20% 以下,代表市场过冷,一般称为超卖阶段,可以考虑做多。
KD 指标的黄金交叉与死亡交叉
和均线一样,KD 值也有交叉的策略可以使用。
交叉简单说就是一种买卖讯号:「当黄金交叉出现时,代表后续可能会持续上涨一段时间,当死亡交叉出现时,代表后续可能会持续下跌一段时间。」
当K 线(快线)向上超过D 线(慢线),就代表黄金交叉,可以视为买进讯号,如果发生在超卖区更好。
当K 线(快线)向下跌破D 线(慢线),就代表死亡交叉,可以视为卖出讯号,如果发生在超买区更好。
KD 指标的钝化与背离
「钝化」指的是指标失去作用的时期。
由于KD 值是计算过去一段时间内价格的相对强弱,因此当价格趋势持续很长一段时间时,KD 值就会失去判断的信号。
例如价格在过去30天内一直上涨,KD 值就会一直处在超买区,且不断来回交叉,但如果依照这个信号去放空,显然会造成损失。
因此,当KD 值长时间都维持在超买或超卖区,通常KD 指标会失真,也就是失去判断的作用。
「背离」指的是价格趋势和指标趋势不一致的状况,通常暗示价格即将出现反转。
例如:今天价格创近期的新高,但是KD 指标却没有跟着创新高,这是一种背离,且暗示价格有可能转弱;
同理,当价格创新低,但是KD 指标的却没有跟着创新低,同样是一种背离,且暗示价格有可能转强。
背离有多种情况,而且不仅是KD 指标有背离状况,很多技术指标也可以套用,以下用表格简单说明KD 背离的几种状况:
| 转弱背离 | 价格创新高 | 价格没创新高 |
| KD 创新高 | 转弱 | |
| KD 没创新高 | 转弱 |
| 转强背离 | 价格创新低 | 价格没创新低 |
| KD 创新低 | 转强 | |
| KD 没创新低 | 转强 |
如何在币安的Trading View 上使用KD 指标?
进入币安交易所后,选择一个交易对,进入Trading View 介面,
以下用BTC / USDT交易对来示范,按照下图步骤把KD 指标叫出来:
接着系统就会在下方跳出「Stoch」,也就是KD 指标的英文,按下齿轮图示,可以去设定细节参数。
首先在「输入数值」,一般我们会设定9 : 3 : 3。
- 长度:代表你要取多长的时间计算KD,一般我们会用9 天或14 天。
- 平滑K:代表我们计算K 值的权重,一般使用3,代表1/3。
- 平滑D:代表我们计算D 值的权重,一般使用3,代表1/3。
(关于权重可回到上文查看α 值的带入)
接着跳到「样式」,
我们可以设定超买超卖的上下限,一般会设定80/20,
不过如果是波动较大的资产,如加密货币,也有的人会设定70 / 30 :
回到主页,你就可以看到设置好的KD 指标分析坐落在分时走势图的下方:
使用KD指标的优缺点
KD 指标的优点是价格反应灵敏,对于中短线操作可以迅速反应市场状况,且时间长短可以根据投资人的喜好调整参数。
- 可以灵敏地反映价格的变化
- 使用起来简单方便,大多数网站都内建KD 指标
KD 指标的主要缺点是,遇上大波段上涨或下跌行情,常常会让投资人只赚到一小个波段就提前出场(钝化),因此不适合长线操作。
- 过于灵敏,杂讯比起一般技术指标来说更多(例如均线)
- 由于是计算相对价格,因此无法判断长期趋势
总结
KD 指标是结合均线、动能、力道等概念的技术指标,使用起来非常简单好懂,可帮助投资人快速分析价格的相对强弱。
在使用上,比较建议投资人结合均线、KD 指标一起分析,因为均线对于中长期的趋势会有比较好的判断,刚好弥补KD 指标的缺点,也可以结合我们之后会讨论的MACD 等其他技术指标,可以有更宏观的分析结果。
游乐网为非赢利性网站,所展示的游戏/软件/文章内容均来自于互联网或第三方用户上传分享,版权归原作者所有,本站不承担相应法律责任。如您发现有涉嫌抄袭侵权的内容,请联系youleyoucom@outlook.com。
同类文章
GENIUS法案推动机构融资 三大企业链获超十亿美元投资
《GENIUS法案》签署后,企业级区块链领域获密集资本注入,Circle的Arc、CantonNetwork及Stripe的Tempo三条链融资超十亿美元。其共性在于原生隐私交易设计,满足机构对交易保密的需求。法案缓解了监管不确定性,吸引高盛、贝莱德等顶级机构支持,形成与传统公链不同的发展路径,有望提升行业标准。
2026年DEX平台效率排行榜:Web3用户必看的链上兑换指南
本文梳理了2026年链上兑换效率平台的发展格局,重点关注DEX在交易速度、成本及用户体验上的核心突破。分析了聚合器、跨链桥与Layer2解决方案如何协同提升整体效率,并探讨了未来以用户为中心、安全与效率并重的发展趋势,为Web3用户提供选择参考。
Jane Street减持比特币ETF IBIT持仓锐减71%
量化巨头JaneStreet一季度大幅削减比特币相关资产敞口,对贝莱德IBIT和富达FBTC两大比特币现货ETF持仓分别环比下降约71%和60%,市值降至约2 256亿和1 15亿美元;同时其对MicroStrategy的持仓也缩减约78%。
Upbit上线Superform代币UP2 支持韩元比特币泰达币交易
韩国Upbit交易所宣布于5月14日上线Superform(UP2),并开放韩元、比特币及泰达币交易对。用户可在公告后一个半小时内开始充值准备。此举通常有助于管理新资产流动性,上线可能提升该代币的市场关注度与流动性,但加密货币波动大,投资前需独立研究并注意风险。
2026年Web3去中心化交易所盘点:哪些平台交易体验更强?
本文探讨了去中心化交易平台在2026年的发展格局,分析了其相较于中心化平台的核心优势,如资产自托管与抗审查性。重点盘点了以Uniswap为代表的自动做市商、以dYdX为代表的衍生品DEX,以及新兴的意图执行与跨链聚合协议等类别,并展望了账户抽象与零知识证明等技术对未来用户体验和隐私的深远影响。
- 日榜
- 周榜
- 月榜
1
2
3
4
5
6
7
8
9
10
1
2
3
4
5
6
7
8
9
10
相关攻略
2015-03-10 11:25
2015-03-10 11:05
2021-08-04 13:30
2015-03-10 11:22
2015-03-10 12:39
2022-05-16 18:57
2025-05-23 13:43
2025-05-23 14:01
热门教程
- 游戏攻略
- 安卓教程
- 苹果教程
- 电脑教程
热门话题












