反向期货合约解析:与正向合约的核心区别
什么是反向期货合约?反向期货合约的性质是非线性的。当交易者做多 BTC/USD 反向期货合约时,他们就是在做空美元。由于合约是反向的,交易者的头寸在比特币中的价值较低,比特币的价值越高,相对于美元的价值就越高。下面我们就详细的了解什么是反向期货合约?反向期货合约有什么作用?以及反向期货合约和正向期货合约有什么不同!
2026虚拟币交易平台推荐:
- 欧易(OKX)交易平台(>>>进入官网<<<)(下载OKX的Android安装包)
- 币安(Binance)交易平台(>>>进入官网<<<)(下载币安Android安装包)
一、什么是反向期货合约?
反向期货合约是一种金融安排,要求卖方在合约到期时向买方支付约定价格与当前价格之间的差额。与传统期货不同,卖方从价格下跌中获益。
无论交易的标的加密货币是什么,反向期货合约的合约价值都以法定货币(如美元)或稳定币(如 Tether 的USDT)计价。盈亏 (PnL) 与标的加密货币价格走势之间存在反比关系。
作为一种衍生品,反向期货合约以美元定价,并使用标的加密货币结算/保证金。例如,BTC/USD 对的市场价格以美元确定,而利润和保证金则以比特币 (BTC) 计算。
二、反向期货合约如何运作?
反向期货合约的性质是非线性的。当交易者做多 BTC/USD 反向期货合约时,他们就是在做空美元。由于合约是反向的,交易者的头寸在比特币中的价值较低,比特币的价值越高,相对于美元的价值就越高。
为了了解反向期货合约的运作方式和相关计算,让我们举一个例子。它涉及使用反向期货合约计算 BTC 头寸的利润。
以下是明细:
仓位规模:1 BTC
入场价(BTC):62,000 美元
退出价(BTC):69,000 美元
计算利润的公式如下:
此公式使用入场价和出场价之间的差额来确定基础加密货币的利润(或损失)。
假设用户正在交易反向 BTC/USD 期货合约,头寸规模为 1-BTC。如果入场价为 62,000 美元,出场价为 69,000 美元,则计算如下:
根据计算,交易员将从这笔交易中获利 0.00000164 BTC,这些利润将出现在他们的加密wallet中。那些想从资产价值上涨中获利的人有时会做多,这意味着他们押注价格上涨。在反向合约方面,做多头寸的投资者将从标的资产兑美元(在本例中为 BTC)升值中获益。
假设投资者选择做多与 BTC/USD 挂钩的反向合约。他们持有的比特币价值与加密货币的价格同步上涨。因此,他们持有的美元价值随着比特币价格的上涨而增加。比特币的价格和以美元计价的反向合约的价值直接相关,为投资者提供了从有利的市场条件中获利的简单机会。
下单举例
买入价格
我们此时有10美元,按照市价6896.5美元的买入价格,每张1美元的合约价值0.000145XBT。
10美元就可以购买10份合约,价值0.00145XBT。由于最小委托单位为0.0001XBT,因此1美元可以买入1份合约,并剩余价值0.000045XBT的美元,折合0.31美元。
我们实际买入的是10份合约,总共价值0.0014XBT。
购买后,此时市场价格发生了变化,我们可以看到:
卖出时
市价卖出价格为 6893.5, 此时我们卖出。盈利为
16893.5−16896.5=0.0000000631
因此10000份合约盈利为0.00063XBT。
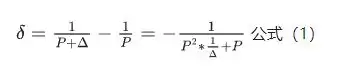
价格变化的不对称
由于引入了反向合约,报价的变化和实际合约的变化也就引入了非线性因素。我们可以用下面的公式表示:
有这个公式,我们假设期货价格变化了最小报价单位0.5美元,
很明显,期货报价上升时,合约多头的损失 小于 期货报价下降同样幅度时,合约多头获得利润。
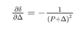
多一些数学
让我们看看对上述公式对期初价格取偏分时,能够得到什么
固定报价幅度,期初价格越大,合约盈亏越小。
翻译成交易语言,就是
比特币越贵,针对每一美元的涨跌幅,合约的变化越小。
另一方面,我们对涨跌幅取偏微分,有
这个公式很明显表示了,其他情况不变,报价涨跌幅度越大,合约盈亏变化越小,且方向相反。翻译成合约语言
比特币涨跌越剧烈,合约变化越小
三、正向期货合约与反向期货合约的区别
线性期货合约以稳定币(如 USDT)结算,而反向期货合约以基础加密货币(如 BTC)结算。
在线性期货合约中,交易者使用和赚取相同的货币。例如,在以美元计价的比特币合约中,保证金和盈亏均以美元计价。在线性期货合约中,保证金和盈亏以报价货币计价,通常称为“香草”。因此,以美元计价的比特币香草期货合约以美元计价和结算。
相反,在反向期货合约中,交易者使用基础货币(例如比特币),但以报价货币(例如美元)赚取盈亏。
线性期货合约和反向期货合约的比较:
由于线性期货合约允许交易者在多个期货市场以稳定币(如 USDT)结算,因此它提供了灵活性。这简化了交易操作,因为无需购买基础加密货币来为期货合约提供资金。
当使用 USDT 等稳定币进行结算时,用法定货币计算利润很简单。交易者可以轻松地用传统货币评估收益或损失,从而可以进行更好的财务规划和分析。
四、反向期货合约的优势
反向期货合约可帮助交易者建立长期储备,允许他们将收益再投资于加密货币持有量,在牛市中提供杠杆以获得更高的利润,并充当有效的对冲工具,而无需将持有量转换为 USDT 等稳定币。
以下是反向期货合约的优势:
长期积累
交易员的利润可以通过反向期货合约直接再投资到长期加密货币持有中,这些合约以加密货币定价和结算。它可以帮助矿工和长期持有者随着时间的推移稳步建立他们的加密货币储备。
牛市中的杠杆
在牛市期间,反向期货合约可以为交易员提供杠杆,使他们能够在基础加密货币的价值上涨时提高利润。对于正确预测价格上涨变化的交易员来说,这种杠杆可以提高利润。
对冲
交易员可以通过同时持有和投资加密资产来对冲他们在期货市场的头寸,而无需将任何持股转换为 USDT 等稳定币。这提高了期货交易的风险管理技能,使交易员能够在保持加密货币市场敞口的同时防范可能的损失。
五、与反向期货合约相关的风险
从事反向期货合约的加密货币交易者必须考虑流动性问题、交易对手风险和市场波动。
市场波动
反向期货合约可能极易受到市场波动的影响,从而增加利润和损失。基础加密货币价格的快速变化可能导致交易者遭受巨额损失。
交易对手风险
交易平台或交易所通常参与反向期货合约交易。如果交易所无法支付其应付款项或破产,则存在交易对手违约的可能性,这可能会导致交易者损失资金。
流动性风险
反向期货合约可能会出现流动性问题,尤其是在市场紧张或交易活动较少的时候。较低的流动性可能导致更大的滑点,从而影响整体盈利能力,并使交易者难以以他们想要的价格完成交易。
游乐网为非赢利性网站,所展示的游戏/软件/文章内容均来自于互联网或第三方用户上传分享,版权归原作者所有,本站不承担相应法律责任。如您发现有涉嫌抄袭侵权的内容,请联系youleyoucom@outlook.com。
同类文章
2026年比特币现货流动性平台深度排名与稳定性分析
本文探讨了2026年BTC现货市场流动性格局,分析了决定交易深度的核心因素,包括订单簿厚度、价差稳定性与交易执行效率。通过对比不同类型交易平台的特点,展望了未来市场可能呈现的集中化与专业化并存的趋势,为寻求稳定交易深点的用户提供参考视角。
2026年隐藏交易成本交易所推荐:如何低成本交易加密货币
选择交易平台时,除了显性的手续费,还需关注隐藏成本,如提现费、价差、非活跃账户费等。本文分析了影响交易总成本的几个关键因素,并基于2026年的市场情况,推荐了几个在综合成本控制上表现突出的平台,帮助用户在保障安全与流动性的前提下,实现更经济的资产交易。
2026年交易所费用排名对比:隐藏成本如何影响你的加密资产收益
本文探讨了在Web3交易中容易被忽视的隐藏成本问题,通过分析2026年主流去中心化交易所的费用结构,揭示了网络Gas费、滑点损失、价格影响及无常损失等关键因素。文章旨在帮助用户超越单纯的手续费率比较,建立更全面的成本评估框架,从而在长期交易中做出更优选择,有效保护资产价值。
2026年隐藏交易成本友好型交易所排行:省钱指南与平台推荐
本文探讨了在Web3交易中容易被忽视的隐藏成本,并分析了2026年市场上几家在降低用户综合交易成本方面表现突出的交易所。文章从交易手续费、网络Gas费、资金存取成本及滑点等维度进行剖析,旨在帮助用户在选择交易平台时,能更全面地评估真实交易支出,实现更经济的资产操作。
欧易OKX官方APP下载安装指南 手机交易虚拟币安全教程
欧易OKX是全球领先的数字资产交易平台,提供现货、合约等多种服务。用户需通过官方网站下载并安装手机客户端,完成账户注册及身份认证,以确保交易安全。平台支持主流币种交易,提供专业行情工具与多重安全保障,便于用户随时随地管理资产。
- 日榜
- 周榜
- 月榜
1
2
3
4
5
6
7
8
9
10
1
2
3
4
5
6
7
8
9
10
相关攻略
2015-03-10 11:25
2015-03-10 11:05
2021-08-04 13:30
2015-03-10 11:22
2015-03-10 12:39
2022-05-16 18:57
2025-05-23 13:43
2025-05-23 14:01
热门教程
- 游戏攻略
- 安卓教程
- 苹果教程
- 电脑教程
热门话题










