合约交易稳赚:仓位管理核心策略与实战指南
2025虚拟币交易平台推荐:
- 欧易(OKX)交易平台(>>>进入官网<<<)(下载OKX的Android安装包)
- 币安(Binance)交易平台(>>>进入官网<<<)(下载币安Android安装包)
合约交易,玩的就是心跳!但想在这个高风险市场里生存,光靠胆大可不行,还得有脑子,也就是一套靠谱的仓位管理策略。这玩意儿说白了,就是控制风险、优化收益的法宝。管好了,能避免爆仓,还能让你的收益蹭蹭往上涨。
一、仓位管理的核心原则:保命第一!
风险控制:永远放在第一位
记住,在合约市场里,保住本金比什么都重要。
- 单次风险控制:每次交易的最大亏损,别超过你总资金的 1-2%。 举个例子,你有 1 万刀本金,那每次最多亏 200 刀。
- 总风险控制:同时持有的合约,总的风险敞口别超过总资金的 5-10%。 别把鸡蛋都放在一个篮子里。
杠杆:用得好是神器,用不好是炸弹
杠杆这东西,就像一把双刃剑,用得好能放大收益,用不好直接让你血本无归。
- 高杠杆(20-50x): 除非你是高手,对行情有绝对把握,否则别碰! 这种杠杆只适合极小的仓位(比如 0.5-1% 的总资金),玩的就是精准。
- 中低杠杆(5-10x): 这是比较稳妥的选择,适合主力仓位(比如 2-5% 的总资金),平衡风险和收益。
- 波动率适配: 市场波动大的时候,比如 BTC 一天波动超过 10%,赶紧降低杠杆或者缩小仓位。
二、仓位管理的核心策略:稳扎稳打
1. 分仓建仓法:像盖房子一样,一层一层来
- 金字塔加仓(趋势确认后):
- 首仓: 占总仓位的 30%,止损可以设宽一点(比如支撑位下方 3%)。
- 第二仓: 趋势延续,加仓 20%,止损上移到首仓的成本价。
- 第三仓: 趋势加速,加仓 10%,止损紧贴短期均线。
- 倒金字塔减仓: 盈利目标达成后,先平 50% 的仓位,锁定利润,剩下的仓位跟踪止盈。
2. 动态头寸调整:灵活应对市场变化
- 盈利加仓: 浮盈达到止损位的 2-3 倍 时,可以用利润去加仓,别动用本金。
- 亏损缩仓: 连续亏损 2 次后,下一笔交易仓位减半,等盈利了再恢复。
3. 跨品种对冲:分散风险,稳中求胜
- 相关性对冲: 同时开多 BTC,开空 ETH(或者反过来),利用币种之间价差波动,降低风险。
- 期限套利: 做多近月合约,做空远月合约,赚取基差回归的收益(记得算上手续费)。
三、实战工具:让数据说话
ATR 指标(真实波动幅度):帮你设置合理的止损
先算出当前的 ATR 值(比如 BTC 的 14 日 ATR 为 $1,500),然后把止损距离设为 1.5 × ATR。
举个例子: 你能承受的亏损是 200 刀,BTC 合约面值是 1,止损距离是 $2,250,那么开仓数量 = 200 / (2,250 × 1) = 0.088 BTC。
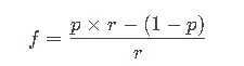
凯利公式:计算最佳仓位比例
根据你的胜率(p)和盈亏比(r),算出最佳的仓位比例:
举个例子: 胜率是 50%,盈亏比是 2:1,那么 f = (0.5 × 2 - 0.5) / 2 = 0.25,也就是说,单次投入别超过 25% 的仓位。
四、极端行情下的风控:未雨绸缪
熔断机制:给自己一个冷静期
当账户单日亏损达到 5% 时,强制停止交易 24 小时,别上头。
保证金实时监控:守住最后的底线
设置预警线: 当保证金率 < 150% 时减仓,< 120% 时平仓,别爆仓。
黑天鹅应对:留点现金保命
保留至少 30% 的 USDC/USDT 作为非杠杆储备金,用于极端暴跌时补充保证金。
五、常见错误与修正:避免踩坑
| 错误做法 | 修正方案 |
|---|---|
| 全仓高杠杆(比如 100x) | 单次杠杆 ≤ 20x,仓位 ≤ 2% |
| 无止损扛单 | 开仓后 5 分钟内必须设置止损 |
| 盈利后过度加仓 | 盈利加仓幅度不超过原始仓位的 50% |
| 多品种同时重仓 | 关联性强的币种仓位合并计算风险 |
六、案例推演:BTC 合约实战
- 初始资金: $10,000
- 策略:
- 首仓开多 BTC: 2% 资金(200 刀),10x 杠杆 → 仓位价值 2,000 刀,止损设 2% 跌幅(亏损 40 刀)。
- 趋势确认后加仓 1% 资金(100 刀),20x 杠杆 → 追加仓位 2,000 刀,止损上移至成本价。
- 盈利达到 500 刀时平仓 50%,剩下的仓位跟踪止盈(比如跌破 5 日均线全平)。
记住,仓位管理的核心在于控制每笔交易的亏损金额,而不是关注开仓倍数或仓位大小。
1. 确定单笔亏损金额
每次交易前,明确自己能承受的最大亏损金额。 比如,账户总资金 10,000 刀,决定单笔亏损控制在 2%,那每笔交易的最大亏损金额就是 200 刀。
2. 计算交易规模
根据止损点位和亏损金额,计算合适的交易规模。 比如止损幅度是 2%,每笔交易最大亏损 200 刀,那交易规模应该是 10,000 刀。 这跟杠杆倍数没关系。
3. 计算交易数量
以币种为单位,计算每笔交易的数量。 假设止损价格空间是 63.53 刀,每笔交易最大亏损 200 刀,那交易数量应该是 3.148 个币种。 这同样跟杠杆倍数没关系。
4. 风险控制与止损
每笔交易前,明确止损点位,严格执行止损策略。 合约交易本质上就是胜率和盈亏比的博弈,没人能保证 100% 的胜率。 即使是胜率 70% 的交易系统,也可能出现连续多次止损的情况。 所以,学会止损才是盈利的关键。
5. 适应市场波动
市场波动大的时候,可能要调整止损点位和交易规模,适应市场变化。 交易中,保持灵活性和适应性,才能更好地应对市场的起伏。
6. 心态调整
在交易中,保持冷静和理性,避免情绪化操作。 交易是需要耐心和纪律的,学会在适当的时候止损,才能在长期中实现盈利。
总结
合约交易的仓位管理,本质上就是 概率、赔率和心理承受力的三角平衡。 建议从保守策略开始(比如 1% 风险敞口 + 5x 杠杆),通过交易日志记录每笔决策的盈亏比和胜率,逐步优化模型。 最终目标不是追求单次暴利,而是通过长期稳定的正期望值系统,实现复利增长。
记住,合约交易,玩的就是风险管理! 控制好仓位,才能在这个市场里活下去,并且赚到钱!
游乐网为非赢利性网站,所展示的游戏/软件/文章内容均来自于互联网或第三方用户上传分享,版权归原作者所有,本站不承担相应法律责任。如您发现有涉嫌抄袭侵权的内容,请联系youleyoucom@outlook.com。
同类文章
什么是Rollux?$SYS代币经济学怎么样?核心作用是什么?
Rollux与SYS代币:如何融合比特币安全与以太坊智能? 在Layer 2扩容方案竞相涌现的今天,Rollux及其原生代币$SYS提出了一个独特构想:能否将比特币无与伦比的安全性与以太坊蓬勃发展的智能合约生态合二为一?答案是肯定的。作为Syscoin生态基于OP Stack构建的Layer 2解决
FIL币值得投资吗?它与传统云存储服务有何不同?
FIL币:去中心化存储的价值内核与市场现实 说起Filecoin网络的原生代币FIL,它的核心角色很明确:为整个去中心化的存储市场提供一套激励与支付的运转血液。这个网络干了一件挺有意思的事——它用区块链技术,把全球各地闲置的硬盘空间给盘活了,整合成一个庞大的数据存储与检索市场。截至2026年3月的数
什么是Hyperliquid L1?HYPE币在质押和治理中起什么作用?
Hyperliquid L1:一个为极速交易而生的专用区块链 在追求中心化交易所的速度与去中心化金融的透明自主之间,市场一直在寻找一个完美的平衡点。Hyperliquid L1的出现,正是对这一核心挑战的直接回应。它并非又一个通用的公链,而是一个从底层开始,就为高速金融应用——尤其是衍生品交易——量
比特币测试长期支撑,多头背离酝酿筑底信号?
比特币回踩关键支撑区,这轮调整的“黄金坑”出现了吗? 近期,全球知名投资机构富达的全球宏观经济总监 Jurrien Timmer 在社交媒体分享的一张技术图表,引发了市场的广泛关注。图表清晰揭示,比特币价格正在 6 5 万至 7 万美元的核心区间内持续震荡。在经历了一场从 12 6 万美元高位回落至
ATOM币和Cosmos生态链是什么关系?ATOM币的核心作用是什么?
从“区块链互联网”到价值引擎:深度解析Cosmos生态与ATOM的价值逻辑 在波谲云诡的加密世界中,Cosmos生态以其“区块链互联网”的宏大构想独树一帜。这并非停留在白皮书上的蓝图,而是通过Hub与Zone架构及革命性的IBC协议,构建出的一个繁荣的异构区块链网络。作为这个网络的核心枢纽—Cosm
- 日榜
- 周榜
- 月榜
相关攻略
2015-03-10 11:25
2015-03-10 11:05
2021-08-04 13:30
2015-03-10 11:22
2015-03-10 12:39
2022-05-16 18:57
2025-05-23 13:43
2025-05-23 14:01
热门教程
- 游戏攻略
- 安卓教程
- 苹果教程
- 电脑教程




