陶哲轩惊叹!AI与全球网友48小时填平1975年数学难题深坑

免费影视、动漫、音乐、游戏、小说资源长期稳定更新! 👉 点此立即查看 👈
新智元报道
编辑:编辑部
【新智元导读】48小时,50年数学谜题就被破解!AI与全球数学家梦幻联动,从游戏分硬币到正方形填充,层层拆解埃尔德什遗留难题,人机协作彻底引爆了数学研究新范式。
刚刚,AI又破解了一个数学难题!
Erdos#1026问题已经被攻克,且给出了正式证明。
而在此之前,这个问题已经困扰了数学界50年。

陶哲轩在Mastodon上宣布了这一消息,还在一篇博客中详细讲述了这个故事。

他强调,在AI的辅助下,人类团队仅用了48小时,就顺利攻克了这一难题。
并且,AI在此过程中带来的是全新理解,绝非搜索这么简单。
要知道,如果是靠传统方法,只靠数学家使用编程和文献检索,可能会需要数周甚至数月。
在这个过程中,AI实际上是在生成新的数学洞见,而不仅仅是检索现有文献。
Harmonic正式也宣布了这一消息,其AI系统Aristotle参与了此次解题过程。

Erdos
1975年,传奇数学家保罗·埃尔德什在一篇论文的角落随手写下一个问题。
半个世纪后,这个问题静静躺在「埃尔德什问题 」上,编号1026。
谁也没想到,它会在2025年的最后一个月,被一群数学家利用AI工具,在短短48小时内彻底破解。
埃尔德什的原问题,读起来有点像谜语。

给定一串不同的实数x1,x2,…,xn,定义S(x1,…,xn)为所有单调子序列(递增或递减)的最大可能和。
这个函数有什么性质?
问题一出,大家面面相觑:这到底要问什么?是求S的表达式?还是找它和总和的比值下界?
2025年9月12日,问题被挂上 时,附加了一条注释:「该问题表述较为模糊。」
但数学家的本能,就是要把模糊变成精确。
当天,网友Desmond Weisenberg提出了一个清晰的游戏化解释:
Alice和Bob的硬币游戏
Alice有N枚硬币,她分成n堆,每堆xi枚(xi可不同)。Bob可以选取一个单调的子序列(递增或递减),拿走这些堆里所有硬币。
问:无论Alice怎么分堆,Bob至少能拿到总硬币数的多少比例?
这个比例,记作c(n)。

从n=3到平方数猜想
可以先看这样几个例子。

很快,Stijn Cambie发现:
如果Alice把硬币分成k2堆,每堆差不多大,并排列成k个递减块,每块k 堆,块之间递增,那么最长单调子序列只有k堆。
于是Bob最多拿到1/k的比例,也即c(k2)≤1/k。
反过来,Wouter van Doorn用已有结果给出下限:c(n)≥(1/√2)/√n。
那么,√n·c(n)的极限是多少?它在1/√2和1之间。
第二天,Stijn手算小n的值:

数据虽少,但已足够让他大胆猜想:c(k2)=1/k。
这意味着√n·c(n)→1,Bob在n很大时几乎能保证拿到约1/√n的比例。
AI出手了!
两个月后,2025年12月7日,Boris Alexeev用AI工具Aristotle在证明辅助语言Lean中自动证出了c(k2)=1/k。
几乎同时,Koishi Chan给出一个优美的人类证明——「膨胀法」。

至此,上下界合一,猜想成功得证。
更巧的是,这个答案,其实早就存在了。
Google Scholar很快找到一篇2016年论文,其中已有此结果,并引用了更早的Wagner用「膨胀法」处理埃尔德什-塞凯赖斯定理的工作。
原来,数学早已悄悄解决过这个问题,只是未被链接到埃尔德什的原始提问。
AI登场
猜出完整公式
但故事的高潮还在后面。
陶哲轩决定用另一个AI工具AlphaEvolve系统探索c(n)。

他让AI尝试构造使S尽量小的序列,很快得到n=1到16的数值结果:

这些分数看似杂乱,但重新排列后,模式逐渐浮现了出来。

Boris从中提炼出干净公式:

并构造出极值序列:用「红」「蓝」两种数值的块交替排列,控制单调子序列的长度。
下图直观展示了该构造(a≥0的情形):

而1/c(n)的图像,正是对√n的分段线性逼近:

连接经典
正方形填充问题
随后,Lawrence Wu指出:此问题等价于一个正方形填充问题(埃尔德什问题106)。

Lawrence证明:c(n)≥1/f(n)。
理由:对任意序列,可构造一系列正方形,它们互不重叠地填满边长为S(x1,…,xn)的大正方形。
下图展示了从AlphaEvolve给出的一个序列构造出的正方形填充。

最后一击
文献中的完整解
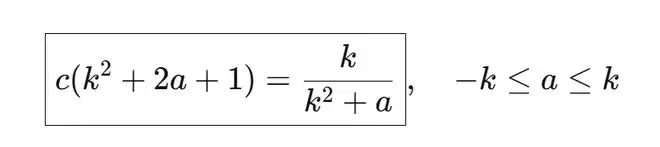
Lawrence再用AI深度搜索,找到了2024年Baek、Koizumi、Ueoro的论文,其中证明:f(k2+2c+1)≤k+c/k。
结合Praton的嵌入论证,这恰好给出:c(k2+2a+1)≤k/(k2+a)。
上下界再次吻合,猜想完全得证!
AI+人类
48小时极限突围
这个故事最让陶哲轩触动的一点是,能汇聚一群不同背景的人、文献和工具来攻克这个问题,是何等重要。
陶哲轩感慨道:
传统模式下,一两位数学家凭借简单工具,或许最终也能拼出全貌,但那可能需要数周甚至数月。而在这个协作网络中,所有关键环节在48小时内汇聚。
要陈述并证明c(n)的精确公式,需要基于多个观察结果,大概包括以下几点:
该序列可以被数值计算为有理数序列。
经过适当的归一化和排列后,序列中会出现肉眼可见的规律,让人能推测出序列的形式。
这个问题是Erdős-Szekeres定理的一个加权版本。
在Erdős-Szekeres定理的众多证明中,1959年Seidenberg的证明可以被解释为一种离散矩形填充论证。
这个问题可以被重新解释为连续正方形填充问题,实际上与Erdős问题106(关于此类填充)的(广义轴平行形式)密切相关。
Erdős问题106的轴平行形式最近刚被Baek-Koizumi-Ueoro解决。
Praton的论文表明,Erdős问题106蕴含了这个问题所需的广义版本。这个蕴含关系特指轴平行的情况。
正是靠着所有贡献者的通力合作以及他们使用的工具,所有这些关键线索才得以在48小时内汇集在一起。
如果换作传统的模式,只靠一两个数学家以及更简单的编程和文献搜索工具,虽然理论上最终也能把这些碎片拼凑起来,但这个过程会花长得多的时间(可能是数周甚至数月)。
另一个关键因素是Erdős问题 上「平衡的AI政策」,它鼓励公开说明AI的使用情况,同时强烈反对隐瞒使用——
允许使用AI辅助编写评论,前提是:
(a)已对此进行公开说明;
(b)内容(包括数学推导、代码、数值数据及相关来源的存在性)已由用户自己在没有AI协助的情况下仔细核查与验证;
(c)评论篇幅在合理范围内,不过于冗长。

一道悬置50年的问题,在2025年的冬天,因为一次跨人机、跨时空的奇妙协作,终于画上了圆满的句号。
而这,可能只是一个新时代的开始。
参考资料:ZHB
https://terrytao.wordpress.com/2025/12/08/the-story-of-erdos-problem-126/
秒追ASI
⭐点赞、转发、在看一键三连⭐
点亮星标,锁定新智元极速推送!
游乐网为非赢利性网站,所展示的游戏/软件/文章内容均来自于互联网或第三方用户上传分享,版权归原作者所有,本站不承担相应法律责任。如您发现有涉嫌抄袭侵权的内容,请联系youleyoucom@outlook.com。
同类文章
工信部发布防范 OpenClaw(“龙虾”)开源智能体安全风险“六要六不要”建议
工信部发布“六要六不要”,为OpenClaw(“龙虾”)开源智能体安全风险划出红线 近日,工业和信息化部网络安全威胁和漏洞信息共享平台发布了一份重磅文件,针对当前热门的OpenClaw(因其图标酷似龙虾,业内常昵称为“龙虾”)开源智能体,提出了清晰的安全使用指引——“六要六不要”。这份建议可不是空穴
荣耀 CEO 李健:荣耀机器人全栈自研,将聚焦消费市场
荣耀CEO李健详解机器人战略:全栈自研,聚焦三大核心消费场景 荣耀春季旗舰新品发布会圆满结束后,关于公司未来发展的蓝图更加清晰。在随后的媒体沟通会上,荣耀CEO李健不仅公布了年度销售目标,更首次系统性地阐述了荣耀在机器人领域的完整战略规划与市场布局。 在探讨机器人业务发展方向时,李健明确了荣耀的坚定
别只盯着“上门装龙虾赚26万”!看懂OpenClaw背后的“意图入口”大战
别再只关注“上门装龙虾赚26万”!深度解读OpenClaw背后的“意图入口”新战争 最近科技行业的热潮,充满了戏剧性的现实色彩。一只“红色龙虾”AI智能体搅动了整个市场:有人通过提供安装服务,收取每次五百元,短短几天就赚取二十六万元收入;腾讯大厦前甚至排起长队,大家竞相领取免费的安装体验权限。这场全
openclaw安装配置
一、系统要求 在开始安装 OpenClaw 之前,请务必确认您的计算机满足以下最低配置要求。这如同搭建房屋前检查地基,是确保后续安装流程顺利、软件稳定运行的前提。更高的硬件配置将为复杂任务处理和流畅体验提供有力保障。 操作系统:支持 Windows 10 及以上版本、macOS 最新稳定版,以及主流
自研第一个SKILL-openclaw入门
自研第一个SKILL:手把手教你开发openclaw自定义技能 当你成功构建好openclaw之后,如何让它真正“智能”起来?关键在于为其开发SKILL——这些技能是openclaw的“内功心法”,决定了它能帮你做什么、做多好。 本文将带你亲自动手,从零开始开发你的第一个openclaw自定义技能,
- 日榜
- 周榜
- 月榜
相关攻略
2015-03-10 11:25
2015-03-10 11:05
2021-08-04 13:30
2015-03-10 11:22
2015-03-10 12:39
2022-05-16 18:57
2025-05-23 13:43
2025-05-23 14:01
热门教程
- 游戏攻略
- 安卓教程
- 苹果教程
- 电脑教程

