阿里千问3.5发布:性能媲美Gemini,价格仅行业1/18
2月16日除夕当天,阿里巴巴开源全新一代大模型千问Qwen3.5-Plus,性能媲美Gemini 3Pro,登顶全球最强开源模型。千问3.5实现了底层模型架构的全面革新,此次发布的Qwen3.5-Plus版本总参数为3970亿,激活仅170亿,以小胜大,性能超过万亿参数的Qwen3-Max模型,部署显存占用降低60%,推理效率大幅提升,最大推理吞吐量可提升至19倍。Qwen3.5-Plus的API价格每百万Token低至0.8元,仅为Gemini 3Pro的1/18。
免费影视、动漫、音乐、游戏、小说资源长期稳定更新! 👉 点此立即查看 👈
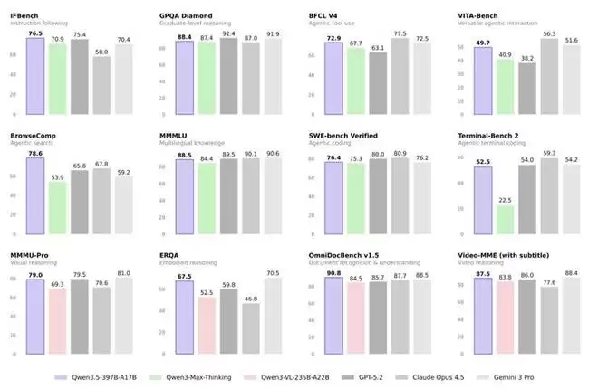
与前几代的千问大语言模型不同,千问3.5实现了从纯文本模型到原生多模态模型的代际跃迁。千问3预训练在纯文本Tokens上进行,而千问3.5则基于视觉和文本混合token上预训练,并大幅新增中英文、多语言、STEM和推理等数据,让张开“眼睛”的大模型学会了更密集的世界知识和推理逻辑,以不到40%的参数量获得超万亿的Qwen3-Max基座模型的顶尖性能,在推理、编程、Agent智能体等全方位基准评估中均表现优异。比如,千问3.5在MMLU-Pro知识推理评测中得分87.8分,超越GPT-5.2;在博士级难题GPQA测评中斩获88.4分,高于Claude 4.5;在指令遵循IFBench以76.5分刷新所有模型纪录;而在通用Agent评测BFCL-V4、搜索Agent评测Browsecomp等基准中,千问3.5表现均超越Gemini 3 Pro、GPT-5.2。

图说:阿里开源千问Qwen3.5-Plus,性能媲美Gemini 3Pro
原生多模态训练,也带来千问3.5的视觉能力飞跃:在多模态推理(MathVison)、通用视觉问答VQA(RealWorldQA)、文本识别和文件理解(CC_OCR)、空间智能(RefCOCO-avg)、视频理解(MLVU)等众多权威评测中,千问3.5均斩获最佳性能。在学科解题、任务规划与物理空间推理等任务上,千问3.5相比千问专项模型Qwen3-VL表现更好,空间定位推理和带图推理能力均大幅增强,推理分析更精细、精准;在视频理解方面,千问3.5支持长达2小时(1M token上下文)的视频直接输入,适用于长视频内容分析与摘要生成;同时,千问3.5实现了视觉理解与代码能力的原生融合,结合图搜和生图工具,可将手绘界面草图直接转为可用的前端代码,一张截图就能定位并修复UI问题,让视觉编程真正成为生产力工具。
千问3.5性能跃升的背后,是对Transformer经典架构的重大创新突破。千问团队自研的门控技术成果,曾斩获全球AI顶会2025NeurIPS最佳论文,该前沿技术已融入到千问3.5创新的混合架构中去,团队结合线性注意力机制与稀疏混合专家MoE模型架构,实现了397B总参数激活仅17B的极致模型效率;同时,千问3.5通过训练稳定优化以及多 token 预测等系列技术,Qwen3.5性能与Qwen3-Max模型持平,并进一步提升了推理效率:在常用的32K上下文场景中,千问3.5推理吞吐量可提升8.6倍;在256K超长上下文情况下,Qwen3.5推理吞吐量最大提升至19倍,推理效率大幅提升。

图说:千问3.5推理效率大幅提升,最大吞吐量提升至19倍
千问3.5的原生多模态训练,是在阿里云AI基础设施上高效完成的。通过系列基础技术创新,千问3.5在文本、图像、视频等混合数据训练吞吐量,几近100%持平纯文本基座模型训练,大举降低了原生多模态训练的难度门槛;同时,通过设计精巧的FP8、FP32精度应用策略,在训练稳定扩展到数十万亿个token时,激活内存减少约50% ,训练还能提速10% ,进一步节约了模型训练成本、提升了训练效率。
基于顶级视觉能力,千问3.5也实现了从Agent框架到Agent应用的新突破。千问3.5可自主操作手机与电脑,高效完成日常任务,在移动端支持更多主流APP与指令,在PC端可处理更复杂的多步骤操作,如跨应用数据整理、自动化流程执行等,显著提升操作效率。同时,千问团队构建了一个可扩展的Agent异步强化学习框架,端到端可加速3到5倍,并将插件式智能体Agent支持扩展至百万级规模。
1月15日,千问App发布全球首个消费级AI购物Agent。春节期间,千问AI购物Agent6天时间帮用户完成了1.2亿笔订单,在全球首次实现大规模真实世界任务执行和商业化验证。Agent能力大幅增强的千问3.5,将进一步打开千问APP在工作和生活中帮人办事的想象空间。
自2024年开源以来,阿里已开源400多个千问模型,覆盖全尺寸、全模态,千问全球下载量突破10亿次,单月下载量是DeepSeek、Meta、OpenAI、智谱、Kimi、MiniMax等2到8名总和,开发者基于千问开发的衍生模型超20万,是公认的全球第一开源模型,也是开发者最友好的开源大模型。面向不同国家的AI开发者和企业的需求,千问大模型还在持续演进:千问3.5扩展支持201种语言,将词表大小从15万扩展到25万,可最高提升小语种60%的编码效率。
据悉,千问APP、PC端已第一时间接入Qwen3.5-Plus模型。开发者可在魔搭社区和HuggingFace下载新模型,或通过阿里云百炼直接获取API服务。阿里很快将继续开源不同尺寸、不同功能的千问3.5系列模型。性能更强的旗舰模型Qwen3.5-Max不久也将发布。
游乐网为非赢利性网站,所展示的游戏/软件/文章内容均来自于互联网或第三方用户上传分享,版权归原作者所有,本站不承担相应法律责任。如您发现有涉嫌抄袭侵权的内容,请联系youleyoucom@outlook.com。
同类文章
领克GT概念跑车北京车展首发 百公里加速仅2秒
领克首款GT概念跑车亮相北京车展,由中欧团队联合打造。新车采用经典GT比例与低趴宽体设计,配备液态金属蓝涂装与2+2座舱,设有高性能模式按键可激活空气动力学套件。车辆采用后驱布局与AI智能运动控制系统,百公里加速约2秒,设计融合瑞典极简美学并参考全球用户反馈。
英伟达RTX 5070移动版GPU发布 12GB显存性能大幅提升
英伟达推出12GB显存版RTX5070移动GPU,与8GB版同步上市。两者均基于Blackwell架构,核心规格相同,仅显存容量不同。此举旨在缓解GDDR7芯片供应压力,为OEM提供灵活配置,加速笔记本产品布局,更大显存可更好满足游戏与AI应用需求。
微星新款雾面WOLED显示器MAG 276QRY28与276QRDY54正式发售
微星将于5月15日推出两款26 5英寸雾面WOLED显示器MAG276QRY28和276QRDY54,售价分别为2499元和6299元。均采用第四代WOLED面板,具备QHD分辨率、VESADisplayHDRTrueBlack500认证、1500尼特峰值亮度及99 5%DCI-P3色域覆盖。276QRY28刷新率为280Hz,高阶款276QRDY54支持4
中芯国际一季度净利润13.61亿元 同比增长0.4%
中芯国际2026年第一季度营收176 17亿元,同比增长8 1%;净利润13 61亿元,同比增长0 4%。公司预计第二季度收入环比增长14%至16%,毛利率指引上调至20%至22%。这反映出公司在行业复苏中展现出财务韧性,并通过运营优化增强了短期增长势头。
Google Cloud 持续优化 PostgreSQL 核心功能
谷歌云近期分享了其对PostgreSQL核心功能的贡献,重点涉及逻辑复制、升级流程与系统稳定性。更新包括逻辑复制的自动冲突检测、序列同步及订阅管理优化,提升了分布式架构可靠性。升级工具增强缩短了大型数据库升级时间,确保数据完整性。此外,修复了多项漏洞以增强系统稳健性,并预告了结构。
- 日榜
- 周榜
- 月榜
1
2
3
4
5
6
7
8
9
10
相关攻略
2015-03-10 11:25
2015-03-10 11:05
2021-08-04 13:30
2015-03-10 11:22
2015-03-10 12:39
2022-05-16 18:57
2025-05-23 13:43
2025-05-23 14:01
热门教程
- 游戏攻略
- 安卓教程
- 苹果教程
- 电脑教程
热门话题

