从公式看懂均线:SMA、EMA、WMA均线公式怎么算?哪种最准?
移动平均线(MA):加密货币与Web3交易者的核心趋势指南
在瞬息万变的Web3交易世界中,从比特币、以太坊的剧烈波动,到各类山寨币和NFT的价格起伏,寻找一个可靠的市场“锚点”至关重要。移动平均线(Moving Average, MA)正是这样一款历经全球金融市场数十年考验,并在加密货币领域展现出强大适应性的基础技术指标。其核心价值在于,通过数学平均的方式,将混乱的K线价格波动转化为平滑的趋势曲线,帮助交易者穿透市场迷雾,做出更理性的决策。
免费影视、动漫、音乐、游戏、小说资源长期稳定更新! 👉 点此立即查看 👈
为什么Web3交易者必须掌握移动平均线?
相较于传统金融市场,加密货币市场7x24小时不间断交易、波动性极高、受情绪与消息面影响巨大。这使得辨别真实趋势与市场噪音变得异常困难。移动平均线在此扮演了“过滤器”与“导航仪”的双重角色:
- 平滑极端波动:有效过滤由突发新闻、巨鲸买卖造成的瞬时价格异动,展现市场的平均成本与真实方向。
- 客观识别趋势:提供明确的多空分界线。当价格站稳MA上方,通常表明多头占优,适合寻找买入或持有机会;反之,则需警惕下行风险。
- 构建交易系统基石:无论是判断DeFi代币的周期性启动,还是评估元宇宙地块资产的长期价值,MA都是构建量化策略或手动交易系统不可或缺的一环。
三大核心移动平均线:SMA、EMA、WMA深度解析
虽然统称移动平均线,但根据计算中赋予近期数据权重的不同,主要衍生出三种类型,它们各有“性格”,适用于不同的交易风格和市场环境。
简单移动平均线(SMA):稳健的趋势骨架
简单移动平均线(Simple Moving Average)是三者中最基础、最易懂的。它对选定周期内的所有收盘价一视同仁,给予相同权重,计算方法为简单算术平均。

计算公式:SMA = (P1 + P2 + … + Pn) / n。其中,P代表每日收盘价,n为周期(例如5、20、200)。
实战应用:在加密货币市场,SMA 200常被视为重要的长期牛熊分界线。当BTC价格突破并站稳SMA 200上方,往往被视作牛市开启的重要信号之一。其优点是平滑性强,能清晰勾勒长期趋势;缺点是信号滞后性最明显,可能错过最佳进出场点。
指数移动平均线(EMA):敏锐的趋势捕手
指数移动平均线(Exponential Moving Average)的设计哲学是“重视现在”。它通过特定的平滑系数,赋予近期价格更高的权重,因此对趋势的变化反应最为迅速。

核心机制:EMA_t = [Pt * (2/(n+1))] + [EMA_{t-1} * (1 - 2/(n+1))]。其中,Pt为当前价,EMA_{t-1}为前一日EMA值。
实战应用:对于进行日内交易或波段操作的加密货币交易者,EMA(如EMA 9, EMA 20)是捕捉短期趋势启动与逆转的利器。尤其在山寨币爆发性行情中,EMA能更快发出入场信号。但其高敏感性也意味着会产生更多虚假信号(俗称“毛刺”),需要结合其他指标过滤。
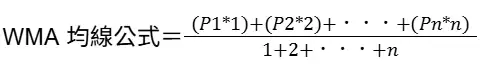
加权移动平均线(WMA):均衡的折中之选
加权移动平均线(Weighted Moving Average)采取了线性加权的思路。它按时间顺序线性增加权重(如最近一天权重为n,最早一天权重为1),在SMA的稳定性与EMA的灵敏性之间寻求平衡。

实战应用:WMA适合中短线交易者,它既能相对及时地反映价格变化,又在一定程度上避免了EMA的过度敏感。在一些专业的交易平台或定制化策略中,交易者会使用WMA来辅助确认EMA发出的信号,以提高胜率。
SMA、EMA、WMA终极对比:如何为你的Web3策略精准选型?
理解三者的本质差异是正确使用的第一步。下表清晰地概括了它们的核心区别:
- SMA(简单移动平均线):权重均等,反应最慢,平滑性最佳。适合长线投资者(HODLer)判断宏观趋势与关键支撑阻力。
- EMA(指数移动平均线):指数加权,反应最快,灵敏度最高。适合短线交易者与波段猎手捕捉市场先机。
- WMA(加权移动平均线):线性加权,反应适中,兼顾灵敏与稳定。适合中期趋势交易者寻求平衡点。
Web3实战:如何将移动平均线融入你的区块链资产交易?
理论需结合实践。在比特币、以太坊乃至各种GameFi代币的交易中,移动平均线的应用策略千变万化。
策略一:多周期均线系统(“均线簇”)
这是高手常用的方法。例如,在图表上同时设置MA 7(短期)、MA 30(中期)和MA 120(长期)。当短期均线由下而上穿越长期均线,形成“黄金交叉”,是潜在的买入信号;反之,“死亡交叉”则为卖出警示。这种排列能直观展示趋势的强弱与共振。
策略二:均线作为动态支撑与阻力
在上升趋势中,价格回踩关键均线(如EMA 20)并获支撑后反弹,是经典的加仓或入场点。在下跌趋势中,均线则转化为难以突破的阻力。这一原理在NFT地板价的趋势分析中同样适用。
策略三:结合其他指标构建多维决策框架
单一指标总有局限。将MA与成交量(Volume)、相对强弱指数(RSI)、MACD等指标结合,能大幅提升判断准确性。例如,当价格突破MA且成交量显著放大,同时RSI未进入超买区,则该突破信号的可靠性更高。
Web3交易者关于移动平均线的常见问题(FAQ)
Q1:在加密货币交易中,应该使用哪种时间周期的均线?
周期选择取决于您的交易框架:日内交易可关注5分钟、15分钟图上的EMA 9、EMA 20;波段交易可关注4小时、日线图上的MA 20、MA 50;长期投资则需紧盯周线、月线图上的MA 100、MA 200。关键在于保持分析周期与交易周期的一致性。
Q2:为什么不同交易平台显示的EMA值有细微差别?
这主要由两方面造成:一是各平台获取的K线收盘价源数据可能存在毫秒级差异;二是EMA计算需要初始值(通常用SMA代替),计算起点的不同会导致结果出现微小偏差。只要差异不大,均属正常现象,不影响整体趋势判断。
Q3:在狂暴的牛熊市中,移动平均线是否失效?
在极端单边行情中,均线可能出现连续钝化,作为进出场工具的效能会降低。但这正体现了其跟踪趋势而非预测顶点的本质。此时,它更多地用于确认趋势的强度和持有仓位的安全性,而非频繁交易。
Q4:能否将MA用于NFT或元宇宙资产分析?
完全可以。尽管NFT交易数据相对离散,但基于地板价或特定蓝筹项目平均价绘制的移动平均线,同样能帮助判断一个NFT系列或元宇宙地块的整体热度趋势和关键价值区间,为买卖决策提供数据参照。
总结:在不确定性中寻找确定性的艺术
在充满不确定性的Web3投资领域,移动平均线提供了一种基于历史数据的确定性分析框架。它无法保证100%的胜率,但能显著提升交易者的纪律性和系统性。SMA、EMA、WMA作为三把不同特性的钥匙,帮助我们从长线布局、波段操作到短线博弈等多个维度解锁市场动向。真正的精通,在于理解其数学内涵,结合自身风险偏好与市场阶段,灵活地将它们融入到你的区块链资产配置与交易策略中,从而在波动的浪潮中行稳致远。
游乐网为非赢利性网站,所展示的游戏/软件/文章内容均来自于互联网或第三方用户上传分享,版权归原作者所有,本站不承担相应法律责任。如您发现有涉嫌抄袭侵权的内容,请联系youleyoucom@outlook.com。
同类文章
喜报:伦敦证券交易所上市新的比特币(BTC)质押ETP
伦敦证券交易所上线比特币质押ETP:机构投资者如何赚取被动收益? 在传统金融市场,投资者通过股票分红或债券利息获取被动收入。而在加密领域,“持币生息”早已成为现实。如今,这一模式正通过主流金融产品,进入更广阔的投资者视野。 近日,加密金融产品发行商Valour,作为DeFi Technologies
值得购买的潜力货币推荐:TRON、Pyth、Chainlink、Mantle、Pump
值得购买的潜力货币推荐:TRON、Pyth、Chainlink、Mantle、Pump 在加密货币领域寻求长期价值,眼光至关重要。市场总在变化,但那些具备坚实基本面、独特优势和高增长潜力的项目,往往能穿越周期。今天,我们就来深入剖析五个当前备受瞩目的代币:TRON、Pyth Network、Chai
币安中的聪明钱和聪明钱信号是什么?如何运作?币安聪明钱信号操作教学
币安智慧钱信号深度解析:揭秘顶尖交易者与巨鲸的真实动向 在瞬息万变的加密货币期货市场,个人投资者常感迷茫:市场真正的风向往哪吹?机构和大户们正在如何布局?如今,依靠猜测的时代已经过去。通过币安期货内置的智慧钱信号功能,您可以直接透视高绩效交易者与巨鲸账户的实时持仓与交易倾向,为您的决策提供关键数据支
什么是杠杆交易?如何交易?注意事项、优缺点介绍
什么是杠杆交易?如何交易?注意事项、优缺点介绍 说到杠杆交易,很多人的第一反应是“以小博大”。没错,这确实是它最直观的标签。但它的内核究竟是什么?简单讲,它是一种金融工具,让你能用借来的钱,去操作一个远超自身本金的市场头寸。你只需拿出一部分资金作为“保证金”,剩下的部分则由经纪商或交易所“借”给你。
Syndicate(SYND)币是什么?SYND 代币经济学、2025年价格预测介绍
Syndicate (SYND) 币深度解析:2025年生态蓝图与价格预测全览 在当今区块链基础设施的革新浪潮中,一个名为Syndicate Network的项目正凭借其开创性的“智能排序”技术脱颖而出。它并非对现有结构的简单修补,而是旨在重新定义应用专用链的运行范式。本文将为您深入剖析Syndic
- 日榜
- 周榜
- 月榜
相关攻略
2015-03-10 11:25
2015-03-10 11:05
2021-08-04 13:30
2015-03-10 11:22
2015-03-10 12:39
2022-05-16 18:57
2025-05-23 13:43
2025-05-23 14:01
热门教程
- 游戏攻略
- 安卓教程
- 苹果教程
- 电脑教程

