城市河流怎样兼顾防洪和生态?
在城市化进程中,大量的城市河流被渠化,河道渠化后,可以有效地提高河流的过水能力,有利于防洪。然而,它也减少了水流的滞留时间,导致河流在某些时段内水量短缺,而水量短缺导致了渠化河流的生态环境出现明显退化。为此,生态流量保障是河流生态环境保护和水资源综合管理的基本途径。
免费影视、动漫、音乐、游戏、小说资源长期稳定更新! 👉 点此立即查看 👈
中国工程院院刊《Engineering》2021年第2期刊发了北京师范大学尹心安科研团队的《面向城市河流生态流量保障的堰高确定方法》一文。文章指出,城市河流生态流量不足的现象普遍存在,除各用水部门之间竞争加剧以及生态流量保障措施执行不彻底等已知原因外,堰高设计中未明确考虑生态流量,是导致生态流量无法满足的另一个重要原因;为此,建议将生态流量的保障措施从供水阶段扩展到河道的设计阶段。
为了更有效地满足城市河流的生态流量,文章构建了一个新的堰高确定框架,有别于传统框架中堰高设计重点关注防洪和蓄水要求,并以洪水入流作为设计依据,新的框架中增加了对生态流量以及河流流速维持的考虑,将城市河流中能为生态流量保障提供的实际流量作为入流。
文章以典型的城市渠化河流——合肥市十五里河为案例,对新框架的有效性进行实证研究。研究结果表明,旧框架会导致设计的堰高过高,无法有效满足生态流量保障的要求,而新框架可确定更为合理的堰高,从而改善生态流量的保障效果。

一、研究进展
在城市化进程中,大量的城市河流被渠化。作为一种全球性现象,城市河流的渠化并不局限于某个特定的地理区域。河道渠化后,可以有效地提高河流的过水能力,有利于防洪。然而,它也减少了水流的滞留时间,导致河流在某些时段内水量短缺。不断增加的人类用水需求,加之流域下垫面变化下雨水截留率降低等原因,造成城市河流的干涸缺水问题更加严峻。水量短缺也导致了渠化河流的生态环境出现明显退化。生态流量保障是河流生态环境保护和水资源综合管理的基本途径。
许多学者对城市渠化河流的生态流量问题进行了研究,极大推进了生态流量相关领域的发展。生态流量核算方法可划分为四大类:水文学法、水力学法、栖息地模拟法以及整体法。在核算城市河流生态流量时,通常会考虑栖息地、污染物稀释和娱乐(即景观)所需的水量。为了满足污染物稀释的需求,一般采用质量平衡方程确定所需的水量。而为了满足娱乐或景观的需求,生态流量核算一般采用水力学方法。
在生态流量核算的基础上,许多研究者进一步研究了如何保障生态流量。这项工作侧重于使用不同的水源,如暴雨期间收集的雨水、污水处理厂的再生水和水库的淡水资源,并以经济合理和安全可靠的方式来满足生态流量要求。
尽管对生态流量进行了大量富有创新性且有价值的研究,但生态流量短缺现象仍然普遍。
多方面原因共同造成城市河流生态流量短缺,常见的原因包括:用水部门之间的激烈竞争、设计的生态流量供水保障计划未完全实施、有限水资源供应及其伴随的随机性和复杂性等。此外,生态流量核算结果和保障方案与渠化河流的物理结构密切相关。渠化河流的物理结构设计不当,是造成城市河流生态流量短缺的另一个重要原因。
生态流量核算和保障中存在一个明显的相互影响关系,即河流的物理条件直接影响河流的流速和水深,而这两个因素都与生境提供、污染物稀释和娱乐等功能密切相关,进而影响生态流量核算的结果;这些结果最终影响生态流量的供水水源选择和供水路线设置,影响调水所需的资金投入和区域内不同用户之间的水资源分配。
对于渠化的城市河道,渠道由人工修建而成。如果渠道的物理条件设计不当,就可能会增加生态流量的需求,同时也会增加用户之间生态流量供应和分配压力,导致生态流量保障方案很难按照计划实施甚至最终面临失败。
在城市河道中,常常建造小型溢流型水坝(即堰)来控制水流,堰的高度是堰以及含堰河道设计的一个重要参数。在传统的堰高确定框架中,防洪和蓄水是两个主要的关注点。对于流域内人口密度高的城市河流,防洪是最重要的问题。因此,设计洪水(如重现期为20年的洪水)被设定为入流,在该洪水风险水平下的最大设计堰高被确定为堰高。该堰的高度是河道内允许的堰的最大高度,它可以给河流提供最大的蓄水能力。
然而,尽管该设计堰高有利于水量储存,但未充分考虑河流生态流量保障问题,未考虑可用于生态流量保障的实际流量。如果河流常见入流无法使水面上升到堰顶,则未来的生态流量保障效果将很不理想。
另外,水华*是城市河流面临的一个严重环境问题,特别是污染物降解能力有限的渠化河道。水华的形成需要较低的流速。随着堰高的增加,水流的过水断面将增大,因此在给定的流量下,河道中的平均流速将降低。低流速会增加水华发生的可能性。如果堰过高,而实际入流条件对生态流量的供应能力有限,加之河道地形的作用,部分河段的水流只能间歇性流动,其流速甚至会降低至零。此时,水华暴发的风险将随之变高,特别是当有持续污染物输入的情况下。
*水华:指淡水水体中藻类大量繁殖的一种自然生态现象,编者注。
本研究旨在改进传统的仅考虑防洪和蓄水需求的堰高确定框架,使其充分考虑城市河流生态流量保障的需求,并降低水华等环境问题的风险。本研究选择中国合肥市十五里河这一典型的城市渠化河流,作为研究案例区。以下章节将介绍新的堰高确定框架以及研究案例区情况,并探讨堰高对生态流量保障的影响。
二、方法构建
图1比较了传统框架中的堰高确定步骤和新框架中的步骤。在旧框架中,堰高仅根据防洪和蓄水的要求来确定。新框架采用传统框架确定的堰高作为堰高的上限阈值。由于传统的堰高确定框架是水利工程设计的常见问题,本研究不再详细描述,只在2、3节中简要给出关键方程。设计的细节可参考相关文献。

图1 用于确定堰高的传统框架与新框架的比较。v0是为减少藻华可能性而指定的流速
在新的框架中,首先需要核算生态流量,将其设置为河道必须满足的最小流量。然后确定用于保障生态流量所供应的实际流量,此流量应不小于核算的生态流量。再将实际流量作为堰的入流,并据此确定堰高。由于城市河道中水华发生风险性高,本研究将降低水华发生的可能性作为新框架的主要环境目标。
(一)生态流量核算
对于渠化的河流来说,其河道已经变成了长直的且断面为梯形的混凝土渠道,这也导致了一些珍贵物种的消失,因此城市河流生境提供功能的作用相对较低。在本文的分析中,只考虑满足污染物稀释和娱乐功能所需的生态流量。如果有珍贵的物种需要在河道中给予重点保护,则应采用其他的核算方法来确定生态流量。
1. 用于污染物稀释的生态流量
污染物稀释所需的生态流量可以根据质量平衡方程确定,具体如下:

式中,Qd为将污染物稀释至目标(或允许)浓度所需的生态流量;Qp为污水体积;Cp为排入城市河流的污染物浓度; Cmax为规定(目标)水质对应的污染物浓度;M为通过降解的污染物削减量;C0为用于提供生态流量(稀释)的水源中的污染物浓度。
2. 满足城市河流娱乐功能的生态流量
渠化河道的断面变成了边坡较陡的梯形,其水面面积通常不随水深的增加而显著增加,在流量-水域面积关系曲线上不存在转折点。因此,对于渠化的城市河流,设计中必须包含满足景观娱乐功能的生态流量。为确保河床不裸露,水深通常设置为不小于0.2 m。
此外,在渠化的城市河流中,河道常被堰分割成不同河段而相互隔离。因此,水流的纵向连通性显得尤为重要,成为支持娱乐功能以及物质交换与能源流动的关键所在。为了保持水流的纵向连通性,堰的上游断面水位必须大于堰高。如果水深较低,则水流不能流过堰顶。
此外,为了防止河床裸露,任何河段的最低水位应不低于0.2 m。当水位上升到堰高以上时,任意大小的连续水流都将确保水位保持在堰高以上。因此,为了保持河流的纵向连通性,只需确保河段最低水位大于或等于0.2 m。在一个河段内,河段上游端的水深通常最低,可将该处满足水深要求的最小流量设定为满足娱乐功能的生态流量。
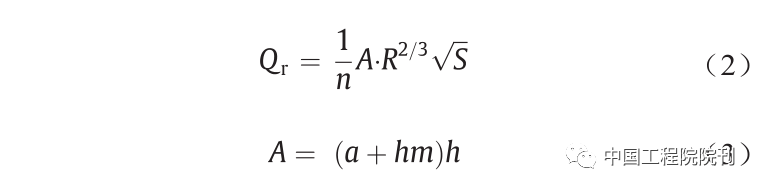
曼宁公式是计算明渠流量常用的公式。该经验公式适用于明渠中的均匀流,是河道流速、水流断面面积和渠道坡度的函数。最低水位大于或等于规定水深(即本研究中的0.2 m)所需流量,可用曼宁公式确定:

式中,Qr为满足娱乐功能所需的生态流量;n为曼宁糙率系数; A为过水断面面积;R为水力半径;S为渠道坡度;a为渠底宽度;h为水深;m为边坡系数。
3. 总体生态流量
总体的生态流量Qe可由下式计算:

式中,Qse是渠道渗漏以及蒸发产生的耗水量。
(二)用于保障生态流量供应的实际流量
上节方法确定的生态流量是城市河流应保持的最小流量。在一定范围内,渠化河流的流量越大,对污染稀释和景观娱乐越有利,但实践中可能无法满足这一水量要求。向河流供应的实际水量大小取决于水资源可利用量、不同用户的用水需求、为河流管理提供的运行经费等因素。实际流量代表了这些因素之间相互妥协的结果。
目前,已经存在多种方法确定可用于生态流量保障的流量大小。本研究将分析可用流量对堰高确定的影响。此外,城市河流的长度通常有几公里或几十公里,且河道内通常建有若干个堰。不同堰的入流量相互关联且可能存在差异。实际流量情况下各个堰之间的级联效应需要重点考虑。
(三)堰高上限阈值
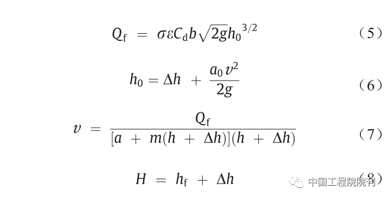
堰高的上限阈值是遵循传统框架确定的满足防洪、蓄水的堰高。该堰高由传统堰流计算公式确定,其关键公式为:

式中,Qf为设计洪水流量,通过选择合适的洪水重现期并分析历史流量资料确定;σ为淹没系数;ε为侧向收缩系数;Cd 为堰流流量系数;b为堰的长度;g为重力加速度;h0是堰上游断面的总水头;Δh为堰顶以上的水流高度;a0为动能修正系数;v为流速;a为渠底宽度;m为边坡系数;H为设计洪水位;hf是根据洪水风险控制要求所确定的堰高。
在以上这些方程中,设计洪水流量(Qf)、设计洪水位(H)和参数σ、ε、Cd、b、g、a0、a、m都是已知或预先确定的,并用于确定未知的堰高hf。
(四)考虑生态流量的堰高确定
水华是城市河流的一个严重问题。以往对水华的研究表明,当流速较高时,水华很少发生。因此,在确定堰高时应考虑保持河段内较高流速,以减少水华发生的可能性。
各河段内的水流流速并不均匀。本研究将堰上游断面的流速近似代表该堰上游河段内的流速。堰上游的流速应不低于指定的流速(v0)要求,以减少水华发生的可能性。
与确定堰高上限阈值相同,新框架中的堰高也由堰流公式计算得到。二者主要区别在于:在降低水华可能性的堰高确定过程中,来水量(过堰流量)为保障生态流量所需的设计流量(Qre)(如果设计流量Qre随时间变化,则取其最小值作为来水量),流速(即v0)已知,而在确定堰高上限阈值(hf)时,来水量为设计洪水的洪峰流量,且最高设计水位已知。同时为满足防洪要求,要求设计堰高不大于hf。


式中,Qre为保障生态流量的设计流量;he是考虑生态流量而确定的堰高。
在上述公式中,设计流量(Qre)、流速(v0)、根据防洪要求确定的堰高(hf)以及参数σ、ε、Cd、b、g、a0、a、m为已知或预先确定的变量,并用于确定未知的堰高(he)。
三、案例分析
十五里河位于安徽省境内,为中国第五大淡水湖巢湖的上游入湖河流,贯穿合肥市城区。河流全长 22.64 km,流域面积为111.25 km2 。为增强河道的泄洪能力,河道已被改造成典型的梯形断面,并采用混凝土衬砌。河道内建有8座拦水堰,用于满足蓄水和提供生态流量的要求。
由于上游地区的过度取水,十五里河河水水量来源受到限制,导致河流呈现间歇性干涸。为了恢复河流的景观,为市民创造一个良好的娱乐场所,当地政府计划通过一系列河流生态治理工程提升十五里河河水水质,并确保河流的生态流量得到保障。
其中,对境内的十五里河污水处理厂(提升后处理能力为2.5 × 105 t·d–1,相当于2.89 m3 ·s–1)和胡大郢污水处理厂(提升后处理能力为1.0 × 105 t·d–1,相当于1.16 m3 ·s–1)进行提标改造,使其能够满足生态流量保障需求。收集的雨水和天鹅湖湖水不再作为常规水源。
所有排入河流的工业与生活废水都将由以上两个污水处理工厂处理,使其排放水质达到地表水IV类标准。此外,为了控制由雨水冲刷产生的非点源污染,十五里河流域内还将建造众多雨水调蓄池。以处理收集的雨水,使雨水排入河流前能达到地表水IV类标准。
据工程规划,污水控制和处理项目可以有效控制排放到河流的污染物,使河流水质最终优于允许水质标准(地表水V类标准)。在这种情况下,用于污染物稀释的生态流量可以忽略。
两个污水处理厂规划的排放水质将达到地表水IV 类标准,高于河流允许排放的地表水V类标准。十五里河污水处理厂(2.89 m3 ·s–1)出水,先调入上游规划的徽州大道湿地做进一步处理,然后调8个堰以上的天鹅湖(A点)的下游河道。从胡大郢污水处理厂排出的中水(1.16 m3 ·s–1)将直接排入河道,以保障生态流量[图 2 (a)]。

图2 生态流量保障的输水路线。(a)旧路线;(b)本研究提出的新路线
四、结果
本研究并没有改变堰的数量和位置,而是为了检验所提出框架的有效性重新设计了堰高。在未来的研究中,将堰的位置及其类型等因素纳入考虑范围,将有助于扩展本研究所提出的框架。堰的类型直接影响堰流淹没系数σ、侧向收缩系数ε和流量系数Cd。
在确定堰型后,以上这些参数可以通过参考水工设计手册或相关标准来确定。为了减少计算的复杂性并专注于确定堰高,本研究将σ、ε和Cd的取值分别设置为1(表示无淹没)、1(表示无侧向收缩)和0.502(常用值)。
如果其他实际案例中这些参数的取值发生改变,仍然可以按照本研究提出的框架重新确定堰高。此外,先前对水华的研究表明,当流速大于0.1 m·s–1至0.2 m·s–1时,水华的发生概率较低。因此,本案例考虑了两个指定的维持流速(v0 = 0.1 m·s–1和0.2 m·s–1)。
表1总结了流速v0 = 0.1 m·s–1和 0.2 m·s–1时所需的堰高。根据新框架确定的堰高低于现有的堰高。这一变化是因为旧堰高是根据河流中的设计洪水的峰值流量确定的,其没有考虑流速或生态流量的要求。而在新框架下计算的堰高,考虑了生态流量供应所需的实际流量情况以及流速维持的要求。
所需的堰高也因河段而异,河段 1位于天鹅湖与最上游堰(堰W1)之间,第8段位于最下游(堰W7和堰W8之间)。本研究不考虑堰W8下游的河段。在两个v0取值下,所需的最高堰高都出现在堰W5,在v0 = 0.2 m·s–1和0.1 m·s–1时,堰高分别为0.77 m和1.73 m。最低所需堰高出现在堰W4,在v0 = 0.2 m·s–1 和0.1 m·s–1时,其堰高分别为0.44 m和1.02 m。

表1 当前生态流量供给条件下所需的堰高
生态补水线路下,S1、S2、S3、S4、S5、S6、S7、 S8河段[图2(a)]的流速分别为0.05 m·s–1、0.05 m·s–1、 0.08 m·s–1、0.04 m·s–1、0.10 m·s–1、0.22 m·s–1、0.02 m·s–1、 0.02 m·s–1。其中,只有堰W5和W6的流速大于或等于 0.1 m·s–1。
堰W7和W8的流速最低,位于这些堰的上游河段发生水华的风险最高。除了通过水处理和增加流速来降低营养物浓度外,机械曝气也被视为一种有效手段而被广泛应用。为了减少水华的可能性,建议在堰W7 和W8对应的S7和S8这两个流速最低的河段安装机械曝气装置。
我们进一步核算了各个河段为了满足流速标准所需的流量大小(表2)。在现有的供水条件下(两个污水处理厂合计的供水量为2.32 m3 ·s–1),S3、S5和S6河段在0.1 m·s–1的流速情景下可以满足流量要求;相应地,当流速设置为0.2 m·s–1时,只有S6河段满足流量要求。因此,由于目前的堰高过高,无法满足降低水华风险所对应的生态流量要求。

表2 满足抑制水华流速要求的流量大小
五、讨论
(一)堰高的筛选
上文所述的堰高与十五里河当前的生态流量调度方案相对应。在实际的生态流量调度中,常常在调水方案确定之前就已经确定了堰高。然而,由于生态流量保障的重要性,也可以首先确定生态流量的大小,之后由工程设计人员根据新框架计算出一个堰高的可接受范围,并最终从中确定一个首选的堰高方案。
可能性最低的堰高方案对应于只满足最小生态流量的情景。相应地,可能性最高的堰高方案对应于所有的可调配水量都位于河流的最上游[图2(a)中的A 点]注入河道的情景。S1、S2、S3、S4、S5、S6、S7、 S8河段的最小生态流量分别为0.56 m3 ·s–1、1.33 m3 ·s–1、 1.00 m3 ·s–1、1.33 m3 ·s–1、1.10 m3 ·s–1、0.50 m3 ·s–1、 1.04 m3 ·s–1、0.90 m3 ·s–1。S2河段的最小生态流量为 1.33 m3 ·s–1。
因此,满足S2段生态流量的情景下,其下游河段的实际流量将不小于1.33 m3 ·s–1。在最小生态流量下,堰W1、W2、W3、W4、W5、W6、W7、W8的堰高分别为0.27 m、0.66 m、0.58 m、0.51 m、0.42 m、 0.42 m、0.35 m、0.35 m。该堰高指的是在当前河道物理条件下可允许的堰高的最低值。在堰的设计中,无论采用何种生态流量调度方案,堰高都应高于此数值。
对于十五里河来说,生态流量的稳定供水来源为十五里河以及胡大郢污水处理厂产生的中水。当胡大郢污水处理厂出水(1.0 × 105 t·d–1)和十五里河污水处理厂的部分出水(1.0 × 105 t·d–1)全部完成时,各河段最大的常规稳定补水量等于2.32 m3 ·s–1(2.0 × 105 t·d–1);十五里河污水处理厂的其余出水将调往流域其他地区。调蓄雨水以及天鹅湖的补水水源并不稳定,因此在本研究中暂不做考虑。
表3总结了上述稳定补水条件下各堰相应的堰高,表中的数值是此情景下满足0.1 m·s–1流速要求的堰高上限阈值。
在确定了可接受的堰高范围后,我们通过择优设计生态流量的供水路线和调度方案,并将流速阈值设置为 0.2 m·s–1,以进一步确定优选的堰高。之前的供水路线 [图2(a)]将十五里河污水处理厂的污水调配到紧靠天鹅湖下游的河流中。所需的管道长度将超过21 km,每天将向上游输送1.16 m3 ·s–1的水量(1.0 × 105 t·d–1)。
这种调度方式每天的运行成本较大。为了降低成本,我们建议采用修改后的供水路线[图2(b)]。S2和S4河段的生态流量要求均为1.33 m3 ·s–1,相当于1.15 × 105 t·d–1,而胡大郢污水处理厂的中水(1.16 m3 ·s–1,1.0 × 105 t·d–1)无法满足这一要求。因此,必须综合利用胡大郢以及十五里河污水处理厂的污水来满足生态流量。我们建议减少十五里河污水处理厂的大规模长距离输水。
在这种新的调水方案中,十五里河污水处理厂的污水将以 0.23 m3 ·s–1(1.99 × 104 t·d–1)的流量输送至S2河段,胡大郢污水处理厂的污水将全部输送至A点。值得注意的是,上述拟定的生态水量调水路线和筛选的堰高仅试图满足最小的生态流量要求(最小水深至少为0.2 m)。当水量更为充足或水质改善要求较高时,可以采用更大的生态流量作为保障目标。

表3 胡大郢污水处理厂出水及部分十五里河出水由上游河段注入河流情景下对应的最小堰高
(二)研究的可改进之处
本研究通过维持流速,以减少城市河流水华暴发的可能性。除流速外,营养物质含量是决定水华发生条件的另一个主要因素。以往关于营养物质含量对水华影响的研究给出了相互矛盾的结论:一些实验研究发现,氮(N)和磷(P)浓度对藻类的生长具有同等的限制作用,两者都是促进水华的必要条件;另外一些实验则发现,N是决定藻类水华的限制性因素。
在加拿大安大略省西北部进行了37年的全湖试验解决了这一困惑。该研究表明,在N限制的水体中,蓝藻对N固定的作用明显,可以使藻类生物量的产生速度与P浓度成正比,导致水体高P浓度时藻类大量繁殖。因此,为了降低水体富营养化水平,管理的重点必须放在降低水中的P浓度上。
学者对引发藻类大量繁殖所需的P浓度阈值存在分歧,但已经证明0.1 mg·L–1的浓度足以引起藻类大量繁殖。0.1 mg·L–1的P浓度阈值也是《地表水环境质量标准》(GB 3838—2002)中划分Ⅰ类(地表水最高水质级别,适用于源头水以及国家级自然保护区内的水体)和Ⅱ类(适用于饮用和捕捞等,水质要求较高)水体标准的分界线。
在城市河流中,水质很难达到Ⅲ类标准(适合饮用和垂钓,水质要求不高)或更高水平,因此通常认为V类标准(P的浓度为0.4 mg·L–1,适合农业和河道景观)是渠道化城市河流可以接受的水质。因此,建议在渠化城市河流的堰高确定过程中,将流速维持作为生态流量保障的重要工作。
不同河流的流速阈值(v0)可能不同。本研究基于以往研究,将流速阈值初步设定为0.1 m·s–1和0.2 m·s–1。鉴于本研究目标是改进水资源管理方法,而不是探讨导致水华形成的生态和环境机制,本研究将流速阈值做了该简化处理。当营养物质浓度特别是P浓度很低时,工程设计者与河道管理者可适当降低速度阈值;相应地,也可以通过适当提高流速阈值,来实现生态流量保障目标。
在堰高确定之前,可以进行详细的实验来确定这个流速阈值。其取值可能与水温、流速、营养物质含量等因素有关,应根据环境和生态领域的相关实验来确定。在这些实验中,必须根据待治理河流的实际情况确定其水质和温度特征,并利用预测模型分析P浓度、流速、水温和藻类生长之间的关系。
本研究将减少水华发生的可能性作为生态流量保障的一个重要环境目标,并利用河水的流速来减少藻类大量繁殖的可能性。也可以采用其他方法来防止藻类大量繁殖,如物理、化学、生物等措施。以上所有的方法都需要一定的资金和人力投入,且存在失败的可能性。
因此,我们建议将生态流量保障作为堰设计的强制性约束条件,并纳入城市河流生态流量配置与生态调度,且在必要时充分考虑其他的替代方法,作为保障生态流量的可选或附加措施。
此外,每个河段内的流速并不是均匀分布。本研究采用简化的方式,利用堰上游断面的流速来表征河段内的流速。比较保守的方法是利用一维水动力模型,确定河段中流速最低的位置,并保证该位置的流速高于给定的流速阈值v0。如何将一维水力模型纳入城市河流生态流量保障的新框架中,有待于今后进一步研究。
六、结论
河流生态流量核算和保障已有大量的研究。本研究提出将传统的生态流量保障框架,由供水阶段扩展到河道设计阶段。本研究提出的堰高确定新框架,能够更有效地满足典型城市渠化河流对生态流量的要求。根据该案例研究的结果,得出以下结论:
(1)根据旧框架确定的堰高,会导致生态流量需求过大,现有可利用水资源可能难以满足生态流量需求。新框架在确定堰高前,会重新评估生态流量和生态补水可用的水资源量,并根据可用水量来确定堰高,而非如旧框架中只着眼于防洪的要求。根据新框架确定的堰高,更适用于河流生态流量保障和流域水资源管理。
(2)在传统的堰高确定框架中,防洪和蓄水是主要关注的问题,而生态流量及其保障效果没有得到明确考虑。在新的框架中,明确考虑了城市河流的生态流量,并在生态流量保障中关注了如抑制水华发生等重要的环境目标。
(3)案例研究结果表明,根据旧框架确定的堰高过高,导致水华发生的可能性较大。
(4)本方法适用于无排水底孔的堰体。对于有排水底孔的堰,其堰高主要由防洪高度决定。
注:本文内容呈现略有调整,若需可查看原文:
Yuanyuan Sun, Xin’an Yin, Xianqiang Mao, Enze Zhang, Yanwei Zhao.Suitable Weir Heights to Improve the Provision of Environmental Flows in Urban Rivers[J].Engineering,2021,7(2):187-194.
本文来自微信公众号:中国工程院院刊(ID:CAE-Engineering),作者:孙媛媛、尹心安、毛显强、张恩泽、赵彦伟
-->本文来自微信公众号:中国工程院院刊(ID:CAE-Engineering),作者:孙媛媛、尹心安、毛显强、张恩泽、赵彦伟,原文标题:《面向城市河流生态流量保障的堰高确定方法丨Engineering》,注:原文首发于2021年8月26日,头图来自:视觉中国
在城市化进程中,大量的城市河流被渠化,河道渠化后,可以有效地提高河流的过水能力,有利于防洪。然而,它也减少了水流的滞留时间,导致河流在某些时段内水量短缺,而水量短缺导致了渠化河流的生态环境出现明显退化。为此,生态流量保障是河流生态环境保护和水资源综合管理的基本途径。
中国工程院院刊《Engineering》2021年第2期刊发了北京师范大学尹心安科研团队的《面向城市河流生态流量保障的堰高确定方法》一文。文章指出,城市河流生态流量不足的现象普遍存在,除各用水部门之间竞争加剧以及生态流量保障措施执行不彻底等已知原因外,堰高设计中未明确考虑生态流量,是导致生态流量无法满足的另一个重要原因;为此,建议将生态流量的保障措施从供水阶段扩展到河道的设计阶段。
为了更有效地满足城市河流的生态流量,文章构建了一个新的堰高确定框架,有别于传统框架中堰高设计重点关注防洪和蓄水要求,并以洪水入流作为设计依据,新的框架中增加了对生态流量以及河流流速维持的考虑,将城市河流中能为生态流量保障提供的实际流量作为入流。
文章以典型的城市渠化河流——合肥市十五里河为案例,对新框架的有效性进行实证研究。研究结果表明,旧框架会导致设计的堰高过高,无法有效满足生态流量保障的要求,而新框架可确定更为合理的堰高,从而改善生态流量的保障效果。

一、研究进展
在城市化进程中,大量的城市河流被渠化。作为一种全球性现象,城市河流的渠化并不局限于某个特定的地理区域。河道渠化后,可以有效地提高河流的过水能力,有利于防洪。然而,它也减少了水流的滞留时间,导致河流在某些时段内水量短缺。不断增加的人类用水需求,加之流域下垫面变化下雨水截留率降低等原因,造成城市河流的干涸缺水问题更加严峻。水量短缺也导致了渠化河流的生态环境出现明显退化。生态流量保障是河流生态环境保护和水资源综合管理的基本途径。
许多学者对城市渠化河流的生态流量问题进行了研究,极大推进了生态流量相关领域的发展。生态流量核算方法可划分为四大类:水文学法、水力学法、栖息地模拟法以及整体法。在核算城市河流生态流量时,通常会考虑栖息地、污染物稀释和娱乐(即景观)所需的水量。为了满足污染物稀释的需求,一般采用质量平衡方程确定所需的水量。而为了满足娱乐或景观的需求,生态流量核算一般采用水力学方法。
在生态流量核算的基础上,许多研究者进一步研究了如何保障生态流量。这项工作侧重于使用不同的水源,如暴雨期间收集的雨水、污水处理厂的再生水和水库的淡水资源,并以经济合理和安全可靠的方式来满足生态流量要求。
尽管对生态流量进行了大量富有创新性且有价值的研究,但生态流量短缺现象仍然普遍。
多方面原因共同造成城市河流生态流量短缺,常见的原因包括:用水部门之间的激烈竞争、设计的生态流量供水保障计划未完全实施、有限水资源供应及其伴随的随机性和复杂性等。此外,生态流量核算结果和保障方案与渠化河流的物理结构密切相关。渠化河流的物理结构设计不当,是造成城市河流生态流量短缺的另一个重要原因。
生态流量核算和保障中存在一个明显的相互影响关系,即河流的物理条件直接影响河流的流速和水深,而这两个因素都与生境提供、污染物稀释和娱乐等功能密切相关,进而影响生态流量核算的结果;这些结果最终影响生态流量的供水水源选择和供水路线设置,影响调水所需的资金投入和区域内不同用户之间的水资源分配。
对于渠化的城市河道,渠道由人工修建而成。如果渠道的物理条件设计不当,就可能会增加生态流量的需求,同时也会增加用户之间生态流量供应和分配压力,导致生态流量保障方案很难按照计划实施甚至最终面临失败。
在城市河道中,常常建造小型溢流型水坝(即堰)来控制水流,堰的高度是堰以及含堰河道设计的一个重要参数。在传统的堰高确定框架中,防洪和蓄水是两个主要的关注点。对于流域内人口密度高的城市河流,防洪是最重要的问题。因此,设计洪水(如重现期为20年的洪水)被设定为入流,在该洪水风险水平下的最大设计堰高被确定为堰高。该堰的高度是河道内允许的堰的最大高度,它可以给河流提供最大的蓄水能力。
然而,尽管该设计堰高有利于水量储存,但未充分考虑河流生态流量保障问题,未考虑可用于生态流量保障的实际流量。如果河流常见入流无法使水面上升到堰顶,则未来的生态流量保障效果将很不理想。
另外,水华*是城市河流面临的一个严重环境问题,特别是污染物降解能力有限的渠化河道。水华的形成需要较低的流速。随着堰高的增加,水流的过水断面将增大,因此在给定的流量下,河道中的平均流速将降低。低流速会增加水华发生的可能性。如果堰过高,而实际入流条件对生态流量的供应能力有限,加之河道地形的作用,部分河段的水流只能间歇性流动,其流速甚至会降低至零。此时,水华暴发的风险将随之变高,特别是当有持续污染物输入的情况下。
*水华:指淡水水体中藻类大量繁殖的一种自然生态现象,编者注。
本研究旨在改进传统的仅考虑防洪和蓄水需求的堰高确定框架,使其充分考虑城市河流生态流量保障的需求,并降低水华等环境问题的风险。本研究选择中国合肥市十五里河这一典型的城市渠化河流,作为研究案例区。以下章节将介绍新的堰高确定框架以及研究案例区情况,并探讨堰高对生态流量保障的影响。
二、方法构建
图1比较了传统框架中的堰高确定步骤和新框架中的步骤。在旧框架中,堰高仅根据防洪和蓄水的要求来确定。新框架采用传统框架确定的堰高作为堰高的上限阈值。由于传统的堰高确定框架是水利工程设计的常见问题,本研究不再详细描述,只在2、3节中简要给出关键方程。设计的细节可参考相关文献。

图1 用于确定堰高的传统框架与新框架的比较。v0是为减少藻华可能性而指定的流速
在新的框架中,首先需要核算生态流量,将其设置为河道必须满足的最小流量。然后确定用于保障生态流量所供应的实际流量,此流量应不小于核算的生态流量。再将实际流量作为堰的入流,并据此确定堰高。由于城市河道中水华发生风险性高,本研究将降低水华发生的可能性作为新框架的主要环境目标。
(一)生态流量核算
对于渠化的河流来说,其河道已经变成了长直的且断面为梯形的混凝土渠道,这也导致了一些珍贵物种的消失,因此城市河流生境提供功能的作用相对较低。在本文的分析中,只考虑满足污染物稀释和娱乐功能所需的生态流量。如果有珍贵的物种需要在河道中给予重点保护,则应采用其他的核算方法来确定生态流量。
1. 用于污染物稀释的生态流量
污染物稀释所需的生态流量可以根据质量平衡方程确定,具体如下:

式中,Qd为将污染物稀释至目标(或允许)浓度所需的生态流量;Qp为污水体积;Cp为排入城市河流的污染物浓度; Cmax为规定(目标)水质对应的污染物浓度;M为通过降解的污染物削减量;C0为用于提供生态流量(稀释)的水源中的污染物浓度。
2. 满足城市河流娱乐功能的生态流量
渠化河道的断面变成了边坡较陡的梯形,其水面面积通常不随水深的增加而显著增加,在流量-水域面积关系曲线上不存在转折点。因此,对于渠化的城市河流,设计中必须包含满足景观娱乐功能的生态流量。为确保河床不裸露,水深通常设置为不小于0.2 m。
此外,在渠化的城市河流中,河道常被堰分割成不同河段而相互隔离。因此,水流的纵向连通性显得尤为重要,成为支持娱乐功能以及物质交换与能源流动的关键所在。为了保持水流的纵向连通性,堰的上游断面水位必须大于堰高。如果水深较低,则水流不能流过堰顶。
此外,为了防止河床裸露,任何河段的最低水位应不低于0.2 m。当水位上升到堰高以上时,任意大小的连续水流都将确保水位保持在堰高以上。因此,为了保持河流的纵向连通性,只需确保河段最低水位大于或等于0.2 m。在一个河段内,河段上游端的水深通常最低,可将该处满足水深要求的最小流量设定为满足娱乐功能的生态流量。
曼宁公式是计算明渠流量常用的公式。该经验公式适用于明渠中的均匀流,是河道流速、水流断面面积和渠道坡度的函数。最低水位大于或等于规定水深(即本研究中的0.2 m)所需流量,可用曼宁公式确定:

式中,Qr为满足娱乐功能所需的生态流量;n为曼宁糙率系数; A为过水断面面积;R为水力半径;S为渠道坡度;a为渠底宽度;h为水深;m为边坡系数。
3. 总体生态流量
总体的生态流量Qe可由下式计算:

式中,Qse是渠道渗漏以及蒸发产生的耗水量。
(二)用于保障生态流量供应的实际流量
上节方法确定的生态流量是城市河流应保持的最小流量。在一定范围内,渠化河流的流量越大,对污染稀释和景观娱乐越有利,但实践中可能无法满足这一水量要求。向河流供应的实际水量大小取决于水资源可利用量、不同用户的用水需求、为河流管理提供的运行经费等因素。实际流量代表了这些因素之间相互妥协的结果。
目前,已经存在多种方法确定可用于生态流量保障的流量大小。本研究将分析可用流量对堰高确定的影响。此外,城市河流的长度通常有几公里或几十公里,且河道内通常建有若干个堰。不同堰的入流量相互关联且可能存在差异。实际流量情况下各个堰之间的级联效应需要重点考虑。
(三)堰高上限阈值
堰高的上限阈值是遵循传统框架确定的满足防洪、蓄水的堰高。该堰高由传统堰流计算公式确定,其关键公式为:

式中,Qf为设计洪水流量,通过选择合适的洪水重现期并分析历史流量资料确定;σ为淹没系数;ε为侧向收缩系数;Cd 为堰流流量系数;b为堰的长度;g为重力加速度;h0是堰上游断面的总水头;Δh为堰顶以上的水流高度;a0为动能修正系数;v为流速;a为渠底宽度;m为边坡系数;H为设计洪水位;hf是根据洪水风险控制要求所确定的堰高。
在以上这些方程中,设计洪水流量(Qf)、设计洪水位(H)和参数σ、ε、Cd、b、g、a0、a、m都是已知或预先确定的,并用于确定未知的堰高hf。
(四)考虑生态流量的堰高确定
水华是城市河流的一个严重问题。以往对水华的研究表明,当流速较高时,水华很少发生。因此,在确定堰高时应考虑保持河段内较高流速,以减少水华发生的可能性。
各河段内的水流流速并不均匀。本研究将堰上游断面的流速近似代表该堰上游河段内的流速。堰上游的流速应不低于指定的流速(v0)要求,以减少水华发生的可能性。
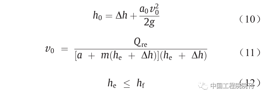
与确定堰高上限阈值相同,新框架中的堰高也由堰流公式计算得到。二者主要区别在于:在降低水华可能性的堰高确定过程中,来水量(过堰流量)为保障生态流量所需的设计流量(Qre)(如果设计流量Qre随时间变化,则取其最小值作为来水量),流速(即v0)已知,而在确定堰高上限阈值(hf)时,来水量为设计洪水的洪峰流量,且最高设计水位已知。同时为满足防洪要求,要求设计堰高不大于hf。


式中,Qre为保障生态流量的设计流量;he是考虑生态流量而确定的堰高。
在上述公式中,设计流量(Qre)、流速(v0)、根据防洪要求确定的堰高(hf)以及参数σ、ε、Cd、b、g、a0、a、m为已知或预先确定的变量,并用于确定未知的堰高(he)。
三、案例分析
十五里河位于安徽省境内,为中国第五大淡水湖巢湖的上游入湖河流,贯穿合肥市城区。河流全长 22.64 km,流域面积为111.25 km2 。为增强河道的泄洪能力,河道已被改造成典型的梯形断面,并采用混凝土衬砌。河道内建有8座拦水堰,用于满足蓄水和提供生态流量的要求。
由于上游地区的过度取水,十五里河河水水量来源受到限制,导致河流呈现间歇性干涸。为了恢复河流的景观,为市民创造一个良好的娱乐场所,当地政府计划通过一系列河流生态治理工程提升十五里河河水水质,并确保河流的生态流量得到保障。
其中,对境内的十五里河污水处理厂(提升后处理能力为2.5 × 105 t·d–1,相当于2.89 m3 ·s–1)和胡大郢污水处理厂(提升后处理能力为1.0 × 105 t·d–1,相当于1.16 m3 ·s–1)进行提标改造,使其能够满足生态流量保障需求。收集的雨水和天鹅湖湖水不再作为常规水源。
所有排入河流的工业与生活废水都将由以上两个污水处理工厂处理,使其排放水质达到地表水IV类标准。此外,为了控制由雨水冲刷产生的非点源污染,十五里河流域内还将建造众多雨水调蓄池。以处理收集的雨水,使雨水排入河流前能达到地表水IV类标准。
据工程规划,污水控制和处理项目可以有效控制排放到河流的污染物,使河流水质最终优于允许水质标准(地表水V类标准)。在这种情况下,用于污染物稀释的生态流量可以忽略。
两个污水处理厂规划的排放水质将达到地表水IV 类标准,高于河流允许排放的地表水V类标准。十五里河污水处理厂(2.89 m3 ·s–1)出水,先调入上游规划的徽州大道湿地做进一步处理,然后调8个堰以上的天鹅湖(A点)的下游河道。从胡大郢污水处理厂排出的中水(1.16 m3 ·s–1)将直接排入河道,以保障生态流量[图 2 (a)]。

图2 生态流量保障的输水路线。(a)旧路线;(b)本研究提出的新路线
四、结果
本研究并没有改变堰的数量和位置,而是为了检验所提出框架的有效性重新设计了堰高。在未来的研究中,将堰的位置及其类型等因素纳入考虑范围,将有助于扩展本研究所提出的框架。堰的类型直接影响堰流淹没系数σ、侧向收缩系数ε和流量系数Cd。
在确定堰型后,以上这些参数可以通过参考水工设计手册或相关标准来确定。为了减少计算的复杂性并专注于确定堰高,本研究将σ、ε和Cd的取值分别设置为1(表示无淹没)、1(表示无侧向收缩)和0.502(常用值)。
如果其他实际案例中这些参数的取值发生改变,仍然可以按照本研究提出的框架重新确定堰高。此外,先前对水华的研究表明,当流速大于0.1 m·s–1至0.2 m·s–1时,水华的发生概率较低。因此,本案例考虑了两个指定的维持流速(v0 = 0.1 m·s–1和0.2 m·s–1)。
表1总结了流速v0 = 0.1 m·s–1和 0.2 m·s–1时所需的堰高。根据新框架确定的堰高低于现有的堰高。这一变化是因为旧堰高是根据河流中的设计洪水的峰值流量确定的,其没有考虑流速或生态流量的要求。而在新框架下计算的堰高,考虑了生态流量供应所需的实际流量情况以及流速维持的要求。
所需的堰高也因河段而异,河段 1位于天鹅湖与最上游堰(堰W1)之间,第8段位于最下游(堰W7和堰W8之间)。本研究不考虑堰W8下游的河段。在两个v0取值下,所需的最高堰高都出现在堰W5,在v0 = 0.2 m·s–1和0.1 m·s–1时,堰高分别为0.77 m和1.73 m。最低所需堰高出现在堰W4,在v0 = 0.2 m·s–1 和0.1 m·s–1时,其堰高分别为0.44 m和1.02 m。

表1 当前生态流量供给条件下所需的堰高
生态补水线路下,S1、S2、S3、S4、S5、S6、S7、 S8河段[图2(a)]的流速分别为0.05 m·s–1、0.05 m·s–1、 0.08 m·s–1、0.04 m·s–1、0.10 m·s–1、0.22 m·s–1、0.02 m·s–1、 0.02 m·s–1。其中,只有堰W5和W6的流速大于或等于 0.1 m·s–1。
堰W7和W8的流速最低,位于这些堰的上游河段发生水华的风险最高。除了通过水处理和增加流速来降低营养物浓度外,机械曝气也被视为一种有效手段而被广泛应用。为了减少水华的可能性,建议在堰W7 和W8对应的S7和S8这两个流速最低的河段安装机械曝气装置。
我们进一步核算了各个河段为了满足流速标准所需的流量大小(表2)。在现有的供水条件下(两个污水处理厂合计的供水量为2.32 m3 ·s–1),S3、S5和S6河段在0.1 m·s–1的流速情景下可以满足流量要求;相应地,当流速设置为0.2 m·s–1时,只有S6河段满足流量要求。因此,由于目前的堰高过高,无法满足降低水华风险所对应的生态流量要求。

表2 满足抑制水华流速要求的流量大小
五、讨论
(一)堰高的筛选
上文所述的堰高与十五里河当前的生态流量调度方案相对应。在实际的生态流量调度中,常常在调水方案确定之前就已经确定了堰高。然而,由于生态流量保障的重要性,也可以首先确定生态流量的大小,之后由工程设计人员根据新框架计算出一个堰高的可接受范围,并最终从中确定一个首选的堰高方案。
可能性最低的堰高方案对应于只满足最小生态流量的情景。相应地,可能性最高的堰高方案对应于所有的可调配水量都位于河流的最上游[图2(a)中的A 点]注入河道的情景。S1、S2、S3、S4、S5、S6、S7、 S8河段的最小生态流量分别为0.56 m3 ·s–1、1.33 m3 ·s–1、 1.00 m3 ·s–1、1.33 m3 ·s–1、1.10 m3 ·s–1、0.50 m3 ·s–1、 1.04 m3 ·s–1、0.90 m3 ·s–1。S2河段的最小生态流量为 1.33 m3 ·s–1。
因此,满足S2段生态流量的情景下,其下游河段的实际流量将不小于1.33 m3 ·s–1。在最小生态流量下,堰W1、W2、W3、W4、W5、W6、W7、W8的堰高分别为0.27 m、0.66 m、0.58 m、0.51 m、0.42 m、 0.42 m、0.35 m、0.35 m。该堰高指的是在当前河道物理条件下可允许的堰高的最低值。在堰的设计中,无论采用何种生态流量调度方案,堰高都应高于此数值。
对于十五里河来说,生态流量的稳定供水来源为十五里河以及胡大郢污水处理厂产生的中水。当胡大郢污水处理厂出水(1.0 × 105 t·d–1)和十五里河污水处理厂的部分出水(1.0 × 105 t·d–1)全部完成时,各河段最大的常规稳定补水量等于2.32 m3 ·s–1(2.0 × 105 t·d–1);十五里河污水处理厂的其余出水将调往流域其他地区。调蓄雨水以及天鹅湖的补水水源并不稳定,因此在本研究中暂不做考虑。
表3总结了上述稳定补水条件下各堰相应的堰高,表中的数值是此情景下满足0.1 m·s–1流速要求的堰高上限阈值。
在确定了可接受的堰高范围后,我们通过择优设计生态流量的供水路线和调度方案,并将流速阈值设置为 0.2 m·s–1,以进一步确定优选的堰高。之前的供水路线 [图2(a)]将十五里河污水处理厂的污水调配到紧靠天鹅湖下游的河流中。所需的管道长度将超过21 km,每天将向上游输送1.16 m3 ·s–1的水量(1.0 × 105 t·d–1)。
这种调度方式每天的运行成本较大。为了降低成本,我们建议采用修改后的供水路线[图2(b)]。S2和S4河段的生态流量要求均为1.33 m3 ·s–1,相当于1.15 × 105 t·d–1,而胡大郢污水处理厂的中水(1.16 m3 ·s–1,1.0 × 105 t·d–1)无法满足这一要求。因此,必须综合利用胡大郢以及十五里河污水处理厂的污水来满足生态流量。我们建议减少十五里河污水处理厂的大规模长距离输水。
在这种新的调水方案中,十五里河污水处理厂的污水将以 0.23 m3 ·s–1(1.99 × 104 t·d–1)的流量输送至S2河段,胡大郢污水处理厂的污水将全部输送至A点。值得注意的是,上述拟定的生态水量调水路线和筛选的堰高仅试图满足最小的生态流量要求(最小水深至少为0.2 m)。当水量更为充足或水质改善要求较高时,可以采用更大的生态流量作为保障目标。

表3 胡大郢污水处理厂出水及部分十五里河出水由上游河段注入河流情景下对应的最小堰高
(二)研究的可改进之处
本研究通过维持流速,以减少城市河流水华暴发的可能性。除流速外,营养物质含量是决定水华发生条件的另一个主要因素。以往关于营养物质含量对水华影响的研究给出了相互矛盾的结论:一些实验研究发现,氮(N)和磷(P)浓度对藻类的生长具有同等的限制作用,两者都是促进水华的必要条件;另外一些实验则发现,N是决定藻类水华的限制性因素。
在加拿大安大略省西北部进行了37年的全湖试验解决了这一困惑。该研究表明,在N限制的水体中,蓝藻对N固定的作用明显,可以使藻类生物量的产生速度与P浓度成正比,导致水体高P浓度时藻类大量繁殖。因此,为了降低水体富营养化水平,管理的重点必须放在降低水中的P浓度上。
学者对引发藻类大量繁殖所需的P浓度阈值存在分歧,但已经证明0.1 mg·L–1的浓度足以引起藻类大量繁殖。0.1 mg·L–1的P浓度阈值也是《地表水环境质量标准》(GB 3838—2002)中划分Ⅰ类(地表水最高水质级别,适用于源头水以及国家级自然保护区内的水体)和Ⅱ类(适用于饮用和捕捞等,水质要求较高)水体标准的分界线。
在城市河流中,水质很难达到Ⅲ类标准(适合饮用和垂钓,水质要求不高)或更高水平,因此通常认为V类标准(P的浓度为0.4 mg·L–1,适合农业和河道景观)是渠道化城市河流可以接受的水质。因此,建议在渠化城市河流的堰高确定过程中,将流速维持作为生态流量保障的重要工作。
不同河流的流速阈值(v0)可能不同。本研究基于以往研究,将流速阈值初步设定为0.1 m·s–1和0.2 m·s–1。鉴于本研究目标是改进水资源管理方法,而不是探讨导致水华形成的生态和环境机制,本研究将流速阈值做了该简化处理。当营养物质浓度特别是P浓度很低时,工程设计者与河道管理者可适当降低速度阈值;相应地,也可以通过适当提高流速阈值,来实现生态流量保障目标。
在堰高确定之前,可以进行详细的实验来确定这个流速阈值。其取值可能与水温、流速、营养物质含量等因素有关,应根据环境和生态领域的相关实验来确定。在这些实验中,必须根据待治理河流的实际情况确定其水质和温度特征,并利用预测模型分析P浓度、流速、水温和藻类生长之间的关系。
本研究将减少水华发生的可能性作为生态流量保障的一个重要环境目标,并利用河水的流速来减少藻类大量繁殖的可能性。也可以采用其他方法来防止藻类大量繁殖,如物理、化学、生物等措施。以上所有的方法都需要一定的资金和人力投入,且存在失败的可能性。
因此,我们建议将生态流量保障作为堰设计的强制性约束条件,并纳入城市河流生态流量配置与生态调度,且在必要时充分考虑其他的替代方法,作为保障生态流量的可选或附加措施。
此外,每个河段内的流速并不是均匀分布。本研究采用简化的方式,利用堰上游断面的流速来表征河段内的流速。比较保守的方法是利用一维水动力模型,确定河段中流速最低的位置,并保证该位置的流速高于给定的流速阈值v0。如何将一维水力模型纳入城市河流生态流量保障的新框架中,有待于今后进一步研究。
六、结论
河流生态流量核算和保障已有大量的研究。本研究提出将传统的生态流量保障框架,由供水阶段扩展到河道设计阶段。本研究提出的堰高确定新框架,能够更有效地满足典型城市渠化河流对生态流量的要求。根据该案例研究的结果,得出以下结论:
(1)根据旧框架确定的堰高,会导致生态流量需求过大,现有可利用水资源可能难以满足生态流量需求。新框架在确定堰高前,会重新评估生态流量和生态补水可用的水资源量,并根据可用水量来确定堰高,而非如旧框架中只着眼于防洪的要求。根据新框架确定的堰高,更适用于河流生态流量保障和流域水资源管理。
(2)在传统的堰高确定框架中,防洪和蓄水是主要关注的问题,而生态流量及其保障效果没有得到明确考虑。在新的框架中,明确考虑了城市河流的生态流量,并在生态流量保障中关注了如抑制水华发生等重要的环境目标。
(3)案例研究结果表明,根据旧框架确定的堰高过高,导致水华发生的可能性较大。
(4)本方法适用于无排水底孔的堰体。对于有排水底孔的堰,其堰高主要由防洪高度决定。
注:本文内容呈现略有调整,若需可查看原文:
Yuanyuan Sun, Xin’an Yin, Xianqiang Mao, Enze Zhang, Yanwei Zhao.Suitable Weir Heights to Improve the Provision of Environmental Flows in Urban Rivers[J].Engineering,2021,7(2):187-194.
本文来自微信公众号:中国工程院院刊(ID:CAE-Engineering),作者:孙媛媛、尹心安、毛显强、张恩泽、赵彦伟
游乐网为非赢利性网站,所展示的游戏/软件/文章内容均来自于互联网或第三方用户上传分享,版权归原作者所有,本站不承担相应法律责任。如您发现有涉嫌抄袭侵权的内容,请联系youleyoucom@outlook.com。
同类文章
AI能从单份血样检出多种神经疾病
来源:科技日报科技日报讯 (记者刘霞)由瑞典隆德大学领衔的国际研究团队,研发出一款新的人工智能(AI)模型。该模型仅需一份血液样本,便能精准识别多种神经退行性疾病。团队期望,该AI模型未来能实现“一
褪去虚火,脑机接口方能释放长远价值
来源:科技日报2026年开年,马斯克宣称脑机接口产品将于年内启动量产,引爆全球市场情绪。国内资本随即扎堆追捧,脑机接口相关概念股大幅走高,行业短期炒作虚火蔓延。进入3月,脑机接口迎来多重利好:脑机接
黎万强、洪锋退出小米科技股东名单
人民财讯4月7日电,企查查APP显示,近日,小米科技有限责任公司发生工商变更,原股东小米联合创始人黎万强、洪锋退出,同时,注册资本由18 5亿元减至约14 8亿元。 企查查信息显示,该公司成立于20
新闻分析|“阿耳忒弥斯2号”任务为何只绕月不登月
新华社北京4月7日电 新闻分析|“阿耳忒弥斯2号”任务为何只绕月不登月 新华社记者张晓茹 美国东部时间6日18时40分许(北京时间7日6时40分许),执行美国“阿耳忒弥斯2号”载人绕月飞行任
“链接未来·智汇静安”区块链创新应用优秀场景分享(四)| 信医基于区块链与隐私计算的真实世界研究数据产品
聚焦数字技术,释放创新动能。为集中展示静安区区块链技术从“实验室”走向“应用场”的丰硕成果,挖掘一批可复制、可推广的行业解决方案,加速构建区块链产业生态闭环,静安区数据局特推出“静安区区块链创新应用
- 日榜
- 周榜
- 月榜
相关攻略
2015-03-10 11:25
2015-03-10 11:05
2021-08-04 13:30
2015-03-10 11:22
2015-03-10 12:39
2022-05-16 18:57
2025-05-23 13:43
2025-05-23 14:01
热门教程
- 游戏攻略
- 安卓教程
- 苹果教程
- 电脑教程
热门话题

