cos30度解密:1995高考题四大解法
让我们一起重温1995年高考数学中的一道经典三角求值题。这道看似简单的题目,如今却让不少高中生犯了难。本文将为大家详细解析四种不同的解题思路。
2025年主流加密货币交易所:
- 欧易OKX >>>进入官网<<< >>>官方下载<<<
- 币安Binance >>>进入官网<<< >>>官方下载<<<
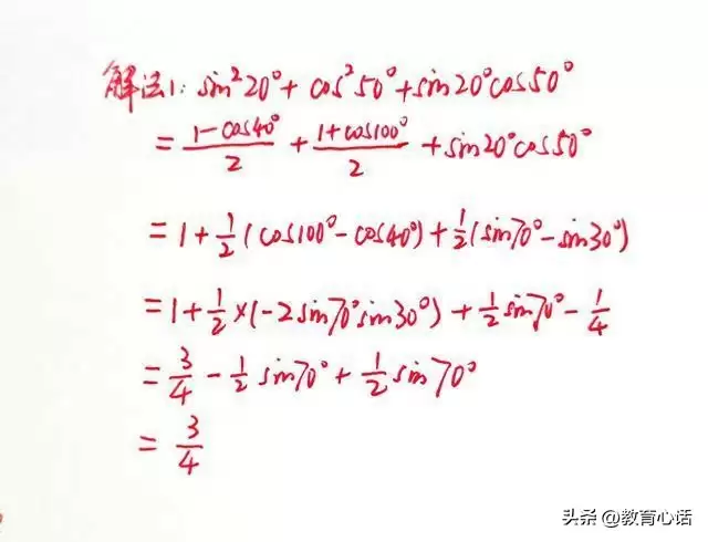
解法一:巧妙运用降幂公式
注意到题目中存在二次项形式,首先考虑使用降幂公式进行转化。实际上,降幂公式可以直接从二倍角公式推导出来。
解法二:配方法的应用
观察题目结构,很多同学会联想到完全平方式的形式。我们可以尝试先进行配方操作:
解法三:妙设辅助变量
这里介绍一个更具技巧性的方法:通过设置两个辅助变量m和n来简化问题:
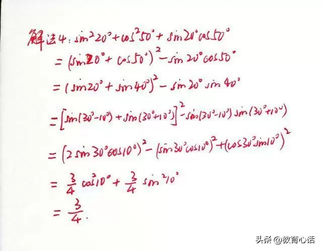
解法四:角度变换技巧
考虑到新课标已删去积化和差公式,这个解法更适合现在的学生:
这三种解法各有特点,但核心都在于巧妙地处理角度关系。本题充分展示了三角函数变换的精妙之处。
无论采用哪种方法,关键在于准确把握三角函数的性质及其相互关系。这些经典的解题思路,至今仍值得我们细细品味。
游乐网为非赢利性网站,所展示的游戏/软件/文章内容均来自于互联网或第三方用户上传分享,版权归原作者所有,本站不承担相应法律责任。如您发现有涉嫌抄袭侵权的内容,请联系youleyoucom@outlook.com。
同类文章
BNB(币安币)是什么?BNB历史最高价与历年价格全解析
BNB(币安币):从交易所代币到生态巨擎的进化史 对于加密货币领域的新手而言,BNB(币安币)是一个绕不开的名字。它不仅背靠全球最大的交易所,更是整个币安生态不可或缺的“燃料”。从2017年以约0 11美元的价格诞生,到2025年一举突破1,370美元的历史高点,BNB在不到十年间完成了价值飞跃,书
PYBOBO币有什么用?游戏奖励与稀有度如何提升?
PYBOBO币:连接虚拟与现实的Web3潮玩生态核心 在Capybobo这个新兴的Web3潮玩生态里,PYBOBO币扮演着绝对的核心角色。它不仅是生态系统的原生治理与效用代币,总量锁定在1000亿枚,更是玩家解锁游戏乐趣、提升收藏价值的关键。简单来说,你想获得游戏奖励、参与稀有度提升、拿到未来新项目
Supra是什么?其核心团队有哪些背景?
在当今由众多区块链网络构成的多链世界中,数据孤岛问题日益凸显。将链外数据安全、可靠且实时地传输至链上,已成为支撑DeFi、GameFi、NFT等复杂应用发展的核心基础设施需求。正是在这一背景下,Supra应运而生,它并非单一的预言机服务,而是一个旨在构建统一、可信、多链互操作数据层的网络协议。 预言
SCR币值得投资吗?用户如何获取SCR币?
理解SCR币:Scroll网络的原生代币与价值逻辑 在以太坊生态的扩展浪潮中,各类二层网络正竞相发展。Scroll凭借其零知识证明技术路线脱颖而出,而SCR币,正是驱动这个网络运转的核心燃料。简单来说,SCR是Scroll网络的原生代币,承担着支付手续费、参与治理和激励生态的关键职能。它的价值与一个
什么是Nolus协议?其跨链租赁如何实现高达150%的杠杆?
Nolus协议:Cosmos生态下的跨链杠杆新解法 在DeFi领域,提升资金效率始终是个核心议题。Cosmos生态里就出现了一种有趣的解法——Nolus协议。它主打一种名为“跨链租赁”的融资模式,本质上,是将传统借贷和资产购买这两个步骤合二为一。简单来说,用户投入一部分自有资金,协议帮你“补足”剩余
- 日榜
- 周榜
- 月榜
相关攻略
2015-03-10 11:25
2015-03-10 11:05
2021-08-04 13:30
2015-03-10 11:22
2015-03-10 12:39
2022-05-16 18:57
2025-05-23 13:43
2025-05-23 14:01
热门教程
- 游戏攻略
- 安卓教程
- 苹果教程
- 电脑教程







