港中文新算法提速10倍:三行代码实现语义分割,告别Argmax

免费影视、动漫、音乐、游戏、小说资源长期稳定更新! 👉 点此立即查看 👈
新智元报道
编辑:LRST
【新智元导读】香港中文大学提出了一个全新的算法框架RankSEG,用于提升语义分割任务的性能。传统方法在预测阶段使用threshold或argmax生成掩码,但这种方法并非最优。RankSEG无需重新训练模型,仅需在推理阶段增加三行代码,即可显著提高Dice或IoU等分割指标。
在语义分割任务中,通常采用「在预测阶段,通过对概率图应用threshold 或argmax来生成mask」的传统范式。
然而,你是否思考过:这种做法真的能够最大化Dice或IoU等主流分割评估指标吗?
香港中文大学的最新研究证明了这一传统方法的次优性,并提出了一种创新性算法框架RankSEG,无需重新训练模型,仅需三行代码即可显著提升分割性能。
系列工作包括刚被NeurIPS 2025接收的高效分割算法,以及发表于JMLR的核心理论,还开源了配套的Python工具包,无需重训模型,仅通过增加三行代码,即可有效提升分割指标表现。

NeurIPS论文链接:https://openreview.net/forum?id=4tRMm1JJhw

JMLR论文链接:https://www.jmlr.org/papers/v24/22-0712.html
代码链接:https://github.com/rankseg/rankseg
如果业界从业者希望最大限度地「榨干」分割模型的性能,只需阅读第一节,即可解锁如何将RankSEG无缝集成到现有流程中。
开源软件包
研究人员提供了一个易用的RankSEG类,初始化时可指定需要优化的分割指标(如 Dice、IoU 等)。随后,只需调用predict方法并输入概率图,即可获得优化后的预测结果。
实际使用时,只需将原有的probs.argmax(dim=1)替换为rankseg.predict(probs),即可轻松集成,无需过多改动,简单高效。
preds = rankseg.predict(probs)

RankSEG与传统argmax方法的效果对比,使用同一个训练好的模型,唯一的区别仅在推理阶段的处理方式。图中用红框进行了重点标注:在第一个例子中,RankSEG 成功识别出桌子上的小瓶子;在第二个例子中,RankSEG成功分割出了被遮挡的人脸;第三个例子捕捉到更完整的肿瘤块。可以明显看出,RankSEG在小物体识别和处理被遮挡等复杂场景时,分割效果相较于传统 argmax 有显著提升。

Demo链接:https://huggingface.co/spaces/statmlben/rankseg
QuickStart:https://colab.research.google.com/drive/1c2znXP7_yt_9MrE75p-Ag82LHz-WfKq-?usp=sharing
文档链接:https://rankseg.readthedocs.io/en/latest/index.html
传统threshold/argmax的局限性
目前主流的分割流程,通常通过训练模型来估计每个像素的类别概率,随后采用threshold或argmax方法生成最终的预测掩码(Mask)。
这种逐像素分类(pixel-wise classification)的方法,优化目标是像素级的准确率;但分割任务真正关心的,是整体的重合度指标(如Dice或IoU),二者并不完全一致。
理论上,传统的threshold / argmax预测方式是次优的(suboptimal)。例如,在下面这个由两个像素组成的简化场景中,即便其中一个像素的预测概率低于0.5,为了获得最优的Dice分数,依然应该将其判定为前景。简单来说,逐像素最优解不一定能带来全局最优的分割效果。

左侧红框给出了最终分割结果,右侧展示了简要的计算过程。其中,表示通过threshold/argmax得到的预测结果。
可以看到,这种预测方式对应的Dice分数并未达到最优;而为了获得最优的Dice,实际上应当将第二个概率低于0.5的像素也判为前景,这个例子直观地揭示了传统threshold/argmax方法在整体分割性能上的局限性。
核心理论:RankSEG
那么,如何才能获得最优的分割预测呢?下面的定理给出了理论上的解答,并指出了实现该最优性的具体方法(这里以Dice指标为例,类似的思路同样适用于IoU优化)。

这个定理可以分为以下几个关键部分理解:
Dice期望的计算
已知每个像素的概率值,输入预测的mask
,该 mask 的Dice系数的期望可以表示为:

只要遍历所有可能的二值 mask,计算对应的Dice期望,并取最大的那一个就能获得最优解。然而,所有mask的组合数为2的d次方,计算量呈指数增长,直接穷举在实际应用中不可行。
排序性质
定理进一步指出,只需关注这样一类特殊的mask:
即概率值排序后,取前大的像素预测为前景。那么只需要搜索「体积」从0到d,大大减少了计算复杂度。
这里隐含了一种排序(Ranking)性质:如果像素j的概率大于像素j'的概率,那么把j判作前景对Dice期望的提升更大。该工作针对这一直观结论给出了严格的理论证明,也由此取名RankSEG。
自适应阈值的最优预测规则
这里,
是遍历不同体积,找到Dice期望最大的对应阈值。与传统的固定阈值不同,这种阈值是自适应(adaptive)的,会根据每张图片的概率分布动态调整,不再局限于 0.5。
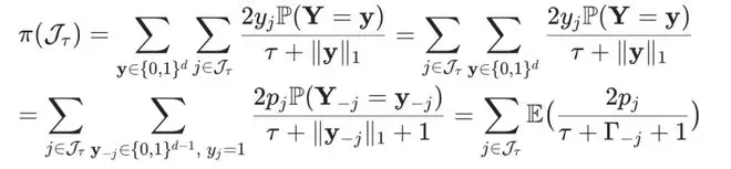
符号记号及期望公式的化简:为简化后续推导,我们将上述Dice期望重写如下:

其中是去掉第j个元素后的向量,(替换
)为剩余像素的前景体积。
由于每个像素是独立伯努利分布,实质上服从泊松二项分布(概率完全相同则退化为经典二项分布)。
RankSEG定理直接以寻找Dice最优预测为目标,巧妙地利用排序性质,带来了简洁且高效的分割预测方法。不过,在定理的实际应用过程中,仍存在两个主要挑战:
期望值计算的复杂性:对每个候选分割,Dice期望的精确计算开销大;
多类别分割的最优刻画困难:在多类别(multi-class)语义分割场景下,由于每个像素只能归属于一个类别(即「无重叠」约束),最优预测的刻画以及直接优化全局指标都变得更加复杂和棘手。
针对以上难点,研究人员引入近似化的技巧,旨在进一步简化计算,同时提出更为实用(practical)的算法方案,以促进RankSEG在各类实际分割任务中的高效应用。
高效近似算法:RankSEG-RMA
RankSEG的计算复杂度较高,限制了其在高维图片中的实际应用,最新的算法(NeurIPS 2025)引入倒数矩近似和多类别分割。
倒数矩近似
RankSEG计算的主要瓶颈在于每个候选掩码都需要精确计算Dice期望。
具体而言,难点在于求解如下关于的倒数期望项:
。该期望需要针对每对重新展开d项求和;如果能够找到一个近似表达式,使得该期望对不同的和j无需重复独立计算,就可以一次性高效推断,并在不同的评估中复用结果,从而大大降低整体计算复杂度。
首先,注意到在当前的图像分割任务中,像素数量d通常非常大。
在这种情况下,去除单个像素j前后的和(即与)之间差异极小。因此,可以用直接近似,从而消除了对像素j的依赖。
其次,针对泊松伯努利分布,进一步观察到:当d足够大时,倒数的期望和期望的倒数非常接近。
因此,后者可以作为前者的近似值,这样一来,期望的计算同样摆脱了对的依赖。研究人员将这种近似称为倒数矩近似(Reciprocal Moment Approximation, RMA)。
借助该方法,用定理2中的替换原来的,在显著提升计算效率的同时,依然能够保持较低的近似误差。

这里和前缀和都可以提前一次性算好,并在后续所有的
评估中反复使用,整体计算复杂度仅为。
多类别分割
RankSEG的框架可以自然地扩展到multi-label场景(即单个像素允许属于多个类别)。然而,在多类别单标签(multi-class)分割任务中,每个像素只能分配一个类别的「非重叠」约束,使得直接扩展RankSEG会涉及到复杂的匹配(assignment)问题,计算复杂度显著提升。
为此,研究人员提出如下近似算法,兼顾了效率与精度:
1. 独立二值分割:对每个类别独立应用RankSEG-RMA算法,分别获得各自的binary mask。
2. 去除重叠:对于预测结果中重叠的区域,仅保留masks之间无重叠部分,舍弃多类别同时预测的像素。这一步可能导致部分像素没有被分配给任何类别。
3. 计算提升值:对于这些未分配的像素j,计算其加入不同类别的提升值
,其中c是类别,是已分配给类别c的像素集合。
4. 贪心分配:在重叠或未分配像素中,根据最大增益为每个像素j选择类别:
这种方法虽然在最后一步引入了 argmax 机制,但与传统方法相比,具备以下两个显著优势:
选择性使用argmax:只有在重叠区域才采用argmax,而大部分像素预测仍然由RankSEG原始算法直接决定,充分发挥了RankSEG的优势。
Principled scores:反映的是某像素j被分给类别c后Dice期望的提升,因而比单纯的概率最大化更符合分割性能的优化目标。
需要说明的是,此方法实质上是一种贪心的近似策略,因为
仅考虑每次加入单个像素时的「瞬时」效益,未全局协同优化。
但实验结果显示,在兼顾计算效率的同时,该方法能够带来不错的分割性能提升,体现出了合理的实用价值。
实验结果
研究人员在多个主流分割数据集(如PASCAL VOC, Cityscapes, LiTS, KiTS等)和多种深度学习模型上进行了广泛实验,验证了RankSEG系列方法的优越性。


从表中结果可以观察到:
性能提升显著:RankSEG系列方法相较传统的argmax预测机制,在分割精度上均有显著提升。
高效近似性:RankSEG-RMA与原始的RankSEG-BA在分割性能上几乎无损失,但推理速度提升数十倍,极大地提升了实际应用的效率。
整体开销较低:尽管RankSEG-RMA在推理阶段相较于argmax在绝对时间上有增加,考虑模型前向(model forward)时间后,其整体计算开销增加有限。而原始的 RankSEG-BA,其耗时则接近于模型前向传播时间本身,限制了实际部署。
公平性对比:所有结果均基于同一个训练模型,RankSEG 作为模型输出的「后处理」操作,避免了因神经网络训练过程中的随机性导致的性能波动,保证了对比结果的客观性。
参考资料:
https://openreview.net/forum?id=4tRMm1JJhw
秒追ASI
⭐点赞、转发、在看一键三连⭐
点亮星标,锁定新智元极速推送!
游乐网为非赢利性网站,所展示的游戏/软件/文章内容均来自于互联网或第三方用户上传分享,版权归原作者所有,本站不承担相应法律责任。如您发现有涉嫌抄袭侵权的内容,请联系youleyoucom@outlook.com。
同类文章
逼AI当山顶洞人!Claude防话痨插件爆火,网友:受够了AI废话
新智元报道编辑:元宇【新智元导读】一个让AI像原始人一样说话的插件,在HN上一夜爆火,冲破2w星。它的核心只是一条简单粗暴的prompt:删掉冠词、客套和一切废话,号称能省下75%的输出token。
季度利润翻 8 倍,最赚钱的「卖铲人」财报背后,内存涨价狂潮如何收场?
AI 时代最赚钱的公司,可能从来不是做 AI 的那个。作者|张勇毅编辑|靖宇淘金热里最稳赚的人,从来不是淘金的,是卖铲子的。这句老话在 2026 年的科技行业又应验了一次。只不过这次卖铲子的不是英伟
Claude Code Harness+龙虾科研团来了!金字塔分层架构+多智能体
Claw AI Lab团队量子位 | 公众号 QbitAI你还在一个人做科研吗?科研最难的,从来不是问题本身,而是一个想法从文献到实验再到写作,只能靠自己一点点往前推。一个人方向偏了没人提醒,遇到歧
让离线强化学习从「局部描摹」变「全局布局」丨ICLR'26
面对复杂连续任务的长程规划,现有的生成式离线强化学习方法往往会暴露短板。它们生成的轨迹经常陷入局部合理但全局偏航的窘境。它们太关注眼前的每一步,却忘了最终的目的地。针对这一痛点,厦门大学和香港科技大
美国犹他州启动新试点项目:AI为患者开具精神类药物处方
IT之家 4 月 5 日消息,据外媒 PC Mag 当地时间 4 月 4 日报道,美国医疗机构 Legion Health 在犹他州获得监管批准,启动一项试点项目,允许 AI 系统为患者开具精神类药
- 日榜
- 周榜
- 月榜
1
2
3
4
5
6
7
8
9
相关攻略
2015-03-10 11:25
2015-03-10 11:05
2021-08-04 13:30
2015-03-10 11:22
2015-03-10 12:39
2022-05-16 18:57
2025-05-23 13:43
2025-05-23 14:01
热门教程
- 游戏攻略
- 安卓教程
- 苹果教程
- 电脑教程
热门话题

