阿里千问3.5发布:性能比肩Gemini,Token价格仅为GPT的1/18
2月16日除夕当天,阿里巴巴开源了全新一代大模型千问Qwen3.5-Plus。这款模型性能足以媲美Gemini 3 Pro,一举登顶全球最强开源模型榜首。千问3.5实现了底层模型架构的全面革新。此次发布的Qwen3.5-Plus版本总参数达到3970亿,但激活参数仅为170亿,实现了“以小博大”的效率突破。其性能不仅超越了参数过万亿的Qwen3-Max模型,部署显存占用还降低了60%,推理效率得到大幅提升,最大推理吞吐量更可跃升19倍。在价格方面,Qwen3.5-Plus的API报价极具竞争力,每百万Token低至0.8元,仅为Gemini 3 Pro的1/18。
免费影视、动漫、音乐、游戏、小说资源长期稳定更新! 👉 点此立即查看 👈
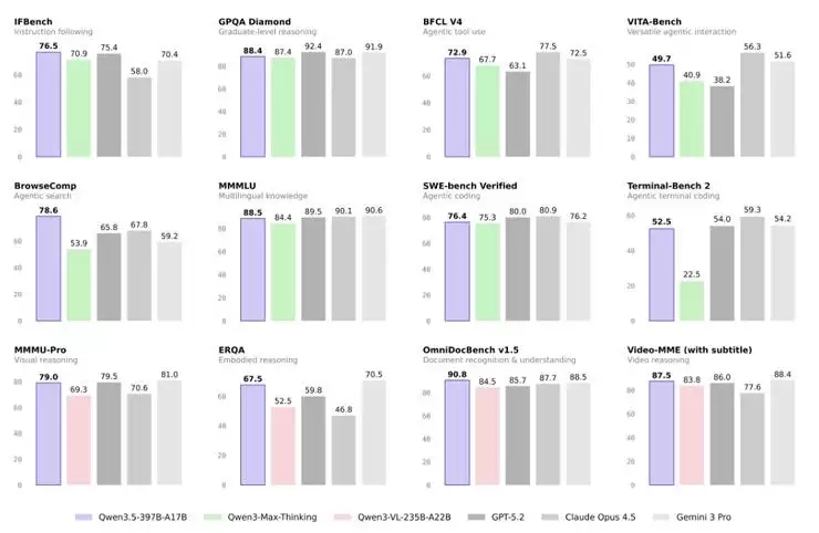
与前几代千问大语言模型不同,千问3.5实现了一次关键的代际跃迁——从纯文本模型进化为原生多模态模型。千问3是基于纯文本Tokens进行预训练的,而千问3.5则是在视觉和文本混合token上进行预训练。此外,模型大幅新增了中英文、多语言、STEM和推理等各类数据,让真正“睁开双眼”的大模型学会了更密集的世界知识和推理逻辑。凭借不到40%的参数量,它便获得了超万亿参数的Qwen3-Max基座模型的顶尖性能,在推理、编程、Agent智能体等全方位基准评估中均表现优异。例如,千问3.5在MMLU-Pro知识推理测评中得分87.8,超越了GPT-5.2;在博士级难题GPQA测评中斩获88.4分,高于Claude 4.5;它在指令遵循IFBench中以76.5分刷新了所有模型纪录;而在通用Agent评测BFCL-V4、搜索Agent评测Browsecomp等基准中,千问3.5的表现均超越了Gemini 3 Pro和GPT-5.2。
图示:阿里开源千问Qwen3.5-Plus,性能媲美Gemini 3Pro
原生多模态训练,也带来了千问3.5视觉能力的飞跃。在多模态推理(MathVison)、通用视觉问答VQA(RealWorldQA)、文本识别和文件理解(CC_OCR)、空间智能(RefCOCO-avg)、视频理解(MLVU)等众多权威评测中,千问3.5均斩获最佳性能。在学科解题、任务规划与物理空间推理等任务上,千问3.5相比千问专项模型Qwen3-VL表现更好,空间定位推理和带图推理能力均大幅增强,推理分析更精细、精准。在视频理解方面,千问3.5支持长达2小时(约1M token上下文)的视频直接输入,适用于长视频内容分析与摘要生成。同时,千问3.5实现了视觉理解与代码能力的原生融合,结合图搜和生图工具,可将手绘界面草图直接转为可用的前端代码,一张截图就能定位并修复UI问题,让视觉编程真正成为生产力工具。
千问3.5性能跃升的背后,是对Transformer经典架构的重大创新突破。千问团队自研的门控技术成果,曾斩获全球AI顶会2025 NeurIPS最佳论文,这一前沿技术已融入到千问3.5创新的混合架构之中。团队结合线性注意力机制与稀疏混合专家MoE模型架构,实现了397B总参数仅激活17B的极致模型效率。同时,千问3.5通过训练稳定优化、多Token预测等一系列技术,使得Qwen3.5性能与Qwen3-Max模型持平,并进一步提升了推理效率:在常用的32K上下文场景中,千问3.5推理吞吐量可提升8.6倍;在256K超长上下文情况下,Qwen3.5推理吞吐量最大提升至19倍,推理效率大幅提升。
图示:千问3.5推理效率大幅提升,最大吞吐量提升至19倍
千问3.5的原生多模态训练,是在阿里云AI基础设施上高效完成的。通过系列基础技术创新,千问3.5在文本、图像、视频等混合数据训练吞吐量,几乎100%持平纯文本基座模型训练,大幅降低了原生多模态训练的难度门槛。同时,通过设计精巧的FP8、FP32精度应用策略,在训练稳定扩展到数十万亿个token时,激活内存减少约50%,训练还能提速10%以上,进一步节约了模型训练成本、提升了训练效率。
基于顶尖的视觉能力,千问3.5也实现了从Agent框架到Agent应用的新突破。千问3.5可自主操作手机与电脑,高效完成日常任务。在移动端支持更多主流APP与指令,在PC端可处理更复杂的多步骤操作,如跨应用数据整理、自动化流程执行等,显著提升操作效率。同时,千问团队构建了一个可扩展的Agent异步强化学习框架,端到端可加速3到5倍,并将插件式智能体Agent支持扩展至百万级规模。
1月15日,千问App发布了全球首个消费级AI购物Agent。春节期间,千问AI购物Agent在短短6天时间里帮助用户完成了1.2亿笔订单,在全球首次实现大规模真实世界任务执行和商业化验证。Agent能力大幅增强的千问3.5,将进一步打开千问APP在工作生活中帮人办事的想象空间。
自2024年开源以来,阿里已开源400多个千问模型,覆盖全尺寸、全模态。千问全球下载量突破10亿次,单月下载量是DeepSeek、Meta、OpenAI、智谱、Kimi、MiniMax等2到8名总和。开发者基于千问开发的衍生模型超20万个,是公认的全球第一开源模型,也是开发者最友好的开源大模型。面向不同国家的AI开发者和企业的需求,千问大模型还在持续演进:千问3.5扩展支持201种语言,将词表大小从15万扩展至25万,最高可提升小语种60%的编码效率。
据悉,千问APP、PC端已第一时间接入Qwen3.5-Plus模型。开发者可在魔搭社区和HuggingFace下载新模型,或通过阿里云百炼直接获取API服务。阿里很快将继续开源不同尺寸、不同功能的千问3.5系列模型。性能更强的旗舰模型Qwen3.5-Max不久也将发布。
游乐网为非赢利性网站,所展示的游戏/软件/文章内容均来自于互联网或第三方用户上传分享,版权归原作者所有,本站不承担相应法律责任。如您发现有涉嫌抄袭侵权的内容,请联系youleyoucom@outlook.com。
同类文章
京东团购上线,即日起至 4 月 30 日满 99 元赠大牌茶饮优惠券
京东正式上线团购服务,超百万餐饮商家进驻开启试运营 最新消息,京东团购业务已于今日正式上线,面向全国用户开放。首批服务范围覆盖上百座城市,入驻试运营的餐饮门店数量已突破百万家,标志着京东在本地生活服务领域迈出关键一步。 用户该如何参与?操作路径十分便捷。只需打开京东App,进入“秒送”频道,即可在醒
2026 年 10 大睡眠呼吸机推荐,舒适度、噪音、性价比、安全性、销量口碑排名
2026年家庭睡眠呼吸机选购指南:十款热门机型深度解析 进入2026年,睡眠呼吸机早已不再是冰冷的医疗设备,而是许多家庭中不可或缺的健康伙伴。无论是应对恼人的鼾声、管理睡眠呼吸暂停,还是辅助慢阻肺的日常护理,一台合适的正压通气设备都能显著提升生活质量。得益于持续的技术优化与服务升级,如今的市面上的产
北京首设全链路餐饮共治机制:外卖骑手随手拍就能举报违规,线索有效将有奖励
北京首设全链路餐饮共治机制:外卖骑手随手拍就能举报违规,线索有效将有奖励 食品安全这事儿,从来都是大家关注的焦点。就在今天(4月2日),北京市市场监督管理局联合多家主流网络订餐平台以及餐饮行业协会,正式推出了一项创新举措——共同签署了外卖骑手“随手拍”共治备忘录。这标志着,一个由“监管引导、平台支撑
结束 13 年生涯,消息称苹果健身技术副总裁杰伊 · 布拉尼克 7 月退休
苹果健身技术副总裁杰伊·布拉尼克将于7月退休,为其13年苹果生涯画上句号 据科技媒体最新报道,苹果公司的健身技术副总裁杰伊·布拉尼克将于今年7月正式退休,结束其在苹果长达十三年的职业旅程。 作为苹果健康业务的核心奠基人之一,杰伊·布拉尼克在2013年加入苹果后,深度塑造了公司多项标志性健康功能。他主
2026 年家庭全场景空气净化器深度解读, 净化空气与家庭健康呼吸
呼吸健康:守护家庭日常的空气防线 您是否意识到,我们每人每天平均呼吸约两万次,吸入的空气总量高达惊人的11000升?作为我们停留时间最长的场所,居家环境——无论是睡眠、用餐、亲子互动还是日常休憩——其空气质量直接影响着每位家庭成员的健康。世界卫生组织早已警示,室内空气污染的危害常被低估,因其影响是隐
- 日榜
- 周榜
- 月榜
相关攻略
2015-03-10 11:25
2015-03-10 11:05
2021-08-04 13:30
2015-03-10 11:22
2015-03-10 12:39
2022-05-16 18:57
2025-05-23 13:43
2025-05-23 14:01
热门教程
- 游戏攻略
- 安卓教程
- 苹果教程
- 电脑教程

