MiniMax Agent RL架构解密:40倍加速训练与三角破局方案
转载自:minimax 稀宇科技
免费影视、动漫、音乐、游戏、小说资源长期稳定更新! 👉 点此立即查看 👈
随着 minimax m2.5 的发布并在社区引发热烈反响,很高兴能借此机会,分享在模型训练背后关于 agent rl 系统的一些思考。
在大规模、复杂的真实世界场景中跑 rl 时,始终面临一个核心难题:如何在系统吞吐量、训练稳定性与 agent 灵活性这三者之间取得平衡。为了解决这个问题,我们设计了一个异步的原生 agent rl 系统—— forge。在 forge 中,我们通过实现标准化的 agent-llm 交互协议,支持了对任意 agent 脚手架进行训练,并且通过极致的工程优化和稳定的算法与奖励设计,实现了超大规模的强化学习。
在面对数十万个真实的 agent 脚手架和环境以及 200k 的上下文长度时,我们的 rl 系统做到了每天百万级样本量的吞吐,并实现持续稳定的 reward 上涨和真实的模型能力提升,并最终造就了 minimax m2.5 模型的性能突破。
问题建模
在深入探讨架构设计之前,我们首先将 agent 强化学习系统的优化目标形式化为“最大化有效训练收益(j)”:

其中,throughput 是指每秒处理的原始 token 数量,其主要受 rl 系统中的四部分控制: rollout、training、data processing 和 i/o。sample efficiency 则是指每个样本带来的平均性能提升,由数据分布、数据质量、算法效率以及 offpolicy 程度决定。而稳定性和收敛性则能够基于训练过程中监测指标来判定。
要实现(j)的最大化,我们需要克服以下三类挑战:
当前常见的 rl 框架和范式对 agent 的复杂度限制很大,主要体现在:
agent 自由度受限:将 agent 视为白盒就要求在 agent 和 rl framework 之间共享和传递状态。这种设计难以对复杂的 agent 架构(如动态上下文管理、multi-agent rl 等)进行建模,导致模型能力无法在复杂的黑盒 agent 上有效泛化。
token一致性问题:现有的 tito(token-in-token-out)模式迫使 agent 与底层的 tokenizer 逻辑深度耦合。在复杂的上下文管理机制下,要想维持 agent 和 rl 之间的严格一致性,其工程成本是非常大的。
rollout 的完成时间存在极大的方差——短则几秒长则数小时。这带来了一个异步调度问题:
训推异步调度逻辑:跑过异步 rl 的同学都知道,在 mfu 和 rl 算法稳定性之间权衡是非常复杂的。严格的 fifo(first in first out)/同步调度会被于长尾样本 block;而 greedy/fffo(first finish first out)虽然最大化了吞吐量,却带来了不可控的 distribution shift,极易导致 rl 中途崩掉。
前缀冗余:在多轮 agent 请求和 group-level 的 rollout 中,tokenizer 的 encode-decode 不一致性和上下文管理机制,会导致请求间共享了大量的前缀,这种冗余在训练期间造成了巨大的计算浪费。
稀疏奖励问题:复杂的 agent 任务的 trajectory 通常包括长达数千步,使得基于稀疏奖励的 credit assignment 在数学上非常不稳定。这种稀疏性导致回报计算中的信噪比极低,引起高梯度方差,破坏了大规模模型训练的稳定性。
long cot 的负面影响:在 r1 出来之后大家的 rl 都很关注 response length 的增长。但在真实的 agent 场景中,用户其实对执行时间非常关注,如果不加以限制可能会导致训出来的模型虽然刷榜很强,但用户体验很差。
系统架构与agent rl范式
rl 系统设计
为了实现真正可扩展的架构,我们不再局限于具体的 agent,而是转向了通用的抽象层设计,将 agent 的执行逻辑与底层的训推引擎彻底解耦。我们的 rl 系统由 3 个核心模块组成:

1.agent:该层抽象了通用 agent(涵盖白盒和黑盒架构)及其运行环境。它负责协调环境交互,使 agent 成为一个纯粹的 trajectory producer。通过将环境交互与 llm generation 解耦,agent 可以专注于核心业务逻辑(如 context management 和复杂的环境交互等),而无需关心底层的训练和推理细节。
2.中间件抽象层:作为桥梁,该层在物理上将 agent 侧与训练/推理引擎隔离。
gateway server:充当标准化通信网关,处理 agent 与 llm 之间的交互请求。通过通用标准协议,它有效地将底层模型的复杂性与 agent 的高层行为逻辑隔离开来。
data pool:作为分布式数据存储,异步收集 trajectory 和 process signal。它充当生成和训练解耦的缓冲区,允许灵活的数据处理和批处理策略。
3.训练与推理引擎:
rollout engine:专用于高吞吐量 token 生成,响应 agent 的生成请求。
train engine:通过 scheduler 从 data pool 中 fetch 数据,更新 agent model,并与采样引擎保持同步,确保 agent 使用最新的策略分布进行探索。
我们在离线评估中发现,不同 agent 脚手架会导致显著的性能偏差。借助该模块化设计,我们在无需修改 agent 内部代码的情况下,使用大量的 agent 框架进行了训练。这种“引擎与 agent 完全解耦”的架构确保了模型能在各类环境中泛化,目前我们已集成了数百种框架和数千种不同的工具调用格式。
对于白盒 agent,我们可以通过充分的脚手架设计和增广,以直接观测和优化模型在特定类型 agent 上的表现。在 m2.5 中,我们特别优化了过去模型在带上下文管理的长程任务(如 deepsearch)中出现的一些问题:
上下文场景性能退化:随着交互轮次增加,中间推理和冗余观察的积累会产生“注意力稀释”。这种噪声会导致模型在绝对上下文窗口内对关键信息失去焦点。
训推不一致:虽然上下文管理可以延长交互周期,提升 agent 在长上下文场景的表现,但仅在推理时使用会由于偏离 rl 训练的数据分布,迫使模型在推理时被迫接受上下文变迁,处理不常见的长下文,从而影响模型表现。
为了解决这些问题,我们将上下文管理(context management, cm)机制直接整合到 rl 交互循环中,将其视为驱动状态转换的功能性动作:
cm 驱动的状态转换:我们将 cm 建模为 agent action,而上下文变迁则蕴含在环境的 dynamics 中。状态从 s(t)到 s(t+1)的转换隐式包含了上下文切换的逻辑,将上下文适应包含在了模型的训练目标中。
自适应推理模式:通过在此框架内优化策略 π(θ),模型学会了内化分布偏移,涌现出优先关注 state-critical token 的鲁棒推理模式。
感知上下文管理策略:在该策略下,模型在 rl 生成过程中就需要学会预见可能的上下文管理和改变,模型通过主动保留与目标任务相关的信息和减少无关上下文信息,大幅提升了在 context-management agent 下的性能。
许多用户的真正在用的 agent 实际上是闭源的,我们完全无法感知内部的 agent loop 逻辑。为了确保模型在不透明架构上也能对脚手架针对性优化,我们采用了以下方案:
非侵入式集成:forge 不感知 agent 内部的实现细节,内部只需要将请求打到 rl 服务的 gateway,框架内部即可进行数据收集和训练,因此在实际 rl 训练时可以兼容任意上下文操作(如记忆压缩、历史重写),任意内部的 agent loop(例如 deep think、multi-agent 等等)。
多框架泛化:通过将训练循环与 agent 内部状态解耦,minimax m2.5 广泛适配大量黑盒 agent——无论是以沙盒+mcp 环境为主的代码 agent(例如我们将 opencode agent 直接视为一个黑盒 agent 来训练),还是使用激进上下文缩减策略的 agent(如 truncate bc)。实验表明,该方法在完全不透明的黑盒系统上依然能带来稳定的提升。

工程优化
为了解决吞吐量与数据分布一致性之间的冲突,我们提出了 windowed fifo 调度策略。该策略介于 fifo 和 greedy 之间,即可以保证系统的吞吐,也控制了样本的 off-policyness。
假设当前达到了最大的生成并发量(如 n = 8192),生成队列为 q,当前头部位于索引 h。训练调度器受限于一个大小为w(如 w=4096)的可见窗口:
受限可见性:调度器只能从范围内获取已完成的轨迹。
局部贪婪(窗口内):在活动窗口内,调度器可立即提取任何已完成轨迹,避免了队头阻塞(hol),快速任务无需等待头部任务完成。
全局严格阻塞(窗口外):即使索引为 h+w+k 的任务已完成,调度器也禁止获取它。
约束推进:只有当头部的任务被消费时,窗口才向前滑动(h→h+1)。这迫使调度器必须等待当前窗口内的“长周期落后任务”,防止训练分布向“快而简单”的样本严重偏移。

agent 的多轮请求间存在很高的上下文前缀重合度,传统方法将每个请求视为独立样本,重复计算公共前缀,浪费了大量的训练算力。
我们提出了 prefix tree merging 方案,将训练样本从“线性序列”重构为“树形结构”,下面是具体的数据处理和训练策略:
只要共享基础前缀,completions 就能在样本级别合并到一棵前缀树中(即使后续响应或采样分支不同)。
通过利用 attention mask 原语(如 magi attention)表示不同 branch 之间的依赖关系,可以保证前向计算在数学上与 naive 方案完全一致,在计算 loss 时,我们会把前缀树 unmerge 为序列的格式,不影响后续的 loss 计算和指标统计。
该方案消除了冗余的前缀,相比于 naive 方案实现了约 40 倍的训练加速,且显著降低了显存开销。

引入异步 rl 之后虽然 rollout 阶段算力占比降低到了 60% 左右,但推理本身还有很大优化空间,我们通过下面的几项优化来加速 llm 推理:
dynamic mtp:首先我们引入 mtp 进行推理加速,同时为了保证训练过程中维持 draft model 的高接受率,我们通过 top-k kl loss 在 rl 过程中持续训练 detached mtp head,与 rl policy 保持对齐。
rollout 侧的 pd 分离:pd 分离可以消除 moe 调度中的 pd 干扰,为每个实例提供独立的并行和生成策略,在最大化吞吐量的同时优化长尾样本的延迟,防止极端样本阻塞 fifo scheduler,并带来较高的 offpolicy。
全局 l3 kv cache pool:在多轮和超长上下文的 agent 场景下,请求间拥有极高的共享前缀比例,但是局部的 kv cache 受容量限制,无法达到满意的 prefix cache 命中率,甚至在 rl batch size 极大的情况下,会发生大量由于驱逐导致的重计算,因此需要支持全局的 l3 kv cache。同时,forge 还通过 scheduler cost-aware 的调度机制,权衡排队延迟和缓存传输时间来动态路由请求,在不使实例超载的前提下最大化缓存局部性。
scalable agent rl 算法

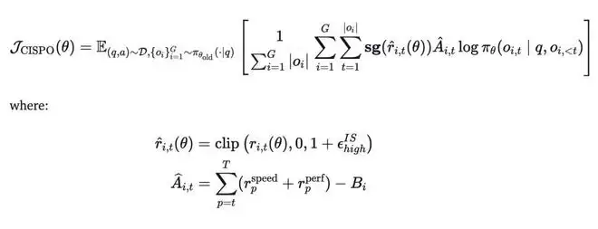
为了解决超长轨迹的信用分配问题并确保稳定,我们设计了一个由三部分组成的复合奖励:
1.过程奖励(process reward):监督 agent 的中间行为(如惩罚语言混合或特定工具调用错误),提供密集反馈,而不只依赖最终结果。
2.任务完成时间奖励:将相对完成时间作为奖励信号。因为真实延迟不仅取决于 token 生成,还受工具执行和子 agent 调用影响,这能激励 agent 主动利用并行策略、选择最短的执行路径来加速任务。
3.用于降低方差的后续奖励(reward-to-go):长周期任务的稀疏奖励容易引发高梯度方差。我们使用 reward-to-go 来标准化回报,大幅提高了信用分配的精度,稳定了优化过程。
训出一个真正好用的模型,工程、数据、算法缺一不可,能赶在年前交出这份答卷,离不开背后每一位同事的努力。看到了社区非常多的正向反馈感到非常开心,其实 m2.5 还有很大的提升空间,内部 rl 也还在继续跑,性能也在持续涨。目前,m2.5 已经全面开源。
hugging face: huggingface.co/minimaxai/minimax-m2.5
github: github.com/minimax-ai/minimax-m2.5
春节马上到了,祝大家新年快乐!
欢迎转发,但请注明出处“上海经信委”
上观号作者:上海经信委
游乐网为非赢利性网站,所展示的游戏/软件/文章内容均来自于互联网或第三方用户上传分享,版权归原作者所有,本站不承担相应法律责任。如您发现有涉嫌抄袭侵权的内容,请联系youleyoucom@outlook.com。
同类文章
苹果税降了!中国内地App Store抽成降至25%
苹果官宣下调中国区App Store抽成:标准佣金率从30%降至25%,2026年3月正式生效 北京时间3月13日,苹果公司正式发布重要公告,宣布对中国内地(大陆)App Store的佣金费率进行历史性调整。公告明确,自2026年3月15日起,针对iOS及iPadOS平台上的付费应用下载与应用内购买
AWE2026探展索尼:新一代真彩RGB电视画质全球首秀
索尼真彩RGB电视惊艳亮相AWE:重新定义家庭影院的画质新标准 每年三月,全球科技爱好者都将目光聚焦于上海。2026年中国家电及消费电子博览会(AWE)盛大开幕,而索尼在本届展会上带来的画质革新,毫无悬念地成为了全场瞩目的焦点与核心亮点。 索尼此次参展策略独具匠心,采用了创新的“双馆联动”模式。主展
推迟打磨AI影像 荣耀Robot Phone原计划3月开卖
荣耀Robot Phone上市时间调整:精心优化,打造完整智能影像体验 近期,荣耀高管罗巍的一次公开分享,引发了科技圈的广泛讨论。他诚恳地表示,荣耀Robot Phone目前最大的遗憾,是未能如最初规划的那样,在3月份正式推向市场。这一表态并非无的放矢,事实上,依据原定的产品战略与开发进度,这款设备
小米澎湃 OS 3 Beta 版上线自研系统级输入法,支持 AI 对话、高级材质等
小米澎湃OS 3 Beta版迎来新成员:自研系统级输入法初亮相 3月30日,小米澎湃OS迎来了重要更新。据知名数码博主@懒酱的日记本爆料,在最新推送的小米澎湃OS 3 Beta版本中,小米自研的系统级输入法已悄然上线,引发了科技圈和米粉的广泛关注。但博主同时指出,作为早期的内测版本,该输入法目前在功
耐寒防水还耐折 OPPO Find N6寒冷冬季随便用
天寒地冻也能随心折叠?折叠屏手机冬季户外使用体验解析 许多用户,尤其是北方地区的朋友,在选择折叠屏手机时常存疑虑:严寒冬季户外使用时,屏幕能否经受考验,实现稳定开合?毕竟,传统认知与厂商指南常将低温视为折叠屏可靠性的潜在挑战。 针对这一普遍关切,OPPO Find N6系列以实测数据给出了肯定回应。
- 日榜
- 周榜
- 月榜
相关攻略
2015-03-10 11:25
2015-03-10 11:05
2021-08-04 13:30
2015-03-10 11:22
2015-03-10 12:39
2022-05-16 18:57
2025-05-23 13:43
2025-05-23 14:01
热门教程
- 游戏攻略
- 安卓教程
- 苹果教程
- 电脑教程

