新研究打破算力限制:大模型准度提升的关键共识与路径
当所有智能体都在“少数服从多数”时,错误也可能被投票放大。但如果不再追求共识,会发生什么?
免费影视、动漫、音乐、游戏、小说资源长期稳定更新! 👉 点此立即查看 👈
一项研究结果显示,仅通过单轮协作,无需达成共识,多智能体协同反而能实现更高的准确性、效率和鲁棒性。
这个有些“反直觉”的结论,来自浙江清华长三角研究院信息技术研究所张海滨教授团队(通讯作者)与北京理工大学团队近期合作的研究,他们研发出一种多智能体协作架构 Free-MAD,打破了多智能体辩论必须“达成共识”的铁律。
在多项任务评测中,Free-MAD 在显著降低硬件资源需求的同时,无需达成共识,仅通过单轮协作,能高效组合数个(中小型)开源大模型,在部分复杂任务方面超越国际主流单体大参数模型(如 Gemini 3、GPT-5.2)的性能水平。

图丨张海滨团队(来源:受访者)
近年来,多智能体协同正成为提升大模型推理能力的热门方向之一,Anthropic、月之暗面等机构也在关注该方向。
传统方法中大模型特有的从众机制是,哪怕是错误的观点也要“少数服从多数”。另一方面,传统多智能体协作方案通常需要两至三轮交互才能达成共识,这会导致模型的准确率和性能均不高,并且费时费钱。
该方案摒弃了传统方法,基于奖励评分决策机制评估整个辩论轨迹,而非仅依赖最后一轮结果;同时通过抗从众机制,使智能体有效识别并避免从众错误推理的传播。
与传统方法相比,在该框架下仅需单轮多智能体交互,即可实现与传统方法的推理相当的效果;在对抗环境下,具有更强的鲁棒性、较低的推理开销以及更高的可拓展性。
该研究为在算力受限环境下实现高性能模型应用,提供了一种兼具成本和性能的技术路径。对工业界而言,意味着可部署更轻量、更便宜、更安全的 AI 协作系统;对学术界而言,它开启了“非共识化多智能体系统”的新方向。

图丨相关论文(来源:arXiv)
参数堆砌之外的突破:多智能体协作的效率革命
当前,全球大模型技术发展呈现出明显的结构性不平衡。一方面,国际上先进的大模型,例如谷歌的 Gemini、OpenAI 的 GPT 以及 Anthropic 的 Claude Opus 系列等仍以闭源为主。尽管在性能和通用能力方面具有优势,但受到技术封锁、合规限制及地缘政治因素等影响,其难以实现广泛获取与使用。
另一方面,国内开源模型在透明性、可审计性和自主可控方面具备优势,但不容忽视的一个问题是,其在综合性能、复杂任务处理能力等关键指标上,与顶尖闭源模型仍存在一定的差距。
实际部署层面的挑战同样严峻,现有部分 200B 及以上参数规模的大模型(如 DeepSeek-V 系列、Qwen 高参数版本等)往往高度依赖多张 NVIDIA H200 级 GPU 硬件,单卡成本较高,这对整体算力来说是一项较高的支出。
相比之下,轻量级小参数模型,例如 32B 级开源模型可在多张 NVIDIA 4090 级别的消费级显卡环境下完成部署,但它的局限性在于单模型能力在复杂任务场景和应用深度方面受限。

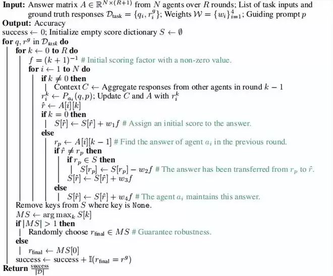
图丨基于分数的 Free-MAD 协议及其评价(来源:arXiv)
在此背景下,研究团队开发了全新多智能体协作架构 Free-MAD。为有力抑制答案的“盲目跟风”,研究人员引入了反从众的机制来重构辩论阶段。通过鼓励批判性思维,系统可实现主动降低对多数意见的敏感度。
张海滨对 DeepTech 解释道:“不能为了达成共识而达成共识,而是应该去思考问题的本身。每个大模型或智能体都会产生自己的思考结果,其不仅要收到对方的结果来做决定,更重要的是,要用批判性思维来看待对方的推理过程是否合理。”
在决策阶段,研究团队基于纯算法逻辑引入了奖励评分决策机制,来评估整个辩论轨迹。这样,最终决策并非取决于最后一轮“谁声量高听谁的”,而是通过全程追踪辩论过程中所有智能体的每次推理轨迹变化。

(来源:arXiv)
这种决策逻辑带来的好处是,无需在辩论阶段达成共识,即便正确答案在末轮未获得多数投票,系统仍可能基于它在辩论过程中的稳定表现或合理转变而获得结论。
除了开发全新的推理框架,这项研究还揭示了多智能体协同中有趣的现象:有的场景下,异构模型的效果强于同构模型;但其他场景下,同构模型反而更强,甚至对应不同的工作或者任务,需要动态调整核心算法与参数。
对于非专业的用户来说,Free-MAD 无异于通用大模型或智能体应用,而针对专业用户,研究团队在此基础上进行参数调优,进化出高度优化的通用版本 MAX-MAD,使性能和准确率进一步提升,以应对不同的场景和赛道。
“参数调优的好坏直接关系到准确性,甚至关系到整个共识达成的速度。因此,我们设置了额外的一些重要的参数调优。”该论文第一作者崔宇对 DeepTech 表示。
据悉,该系统前置了三个重要模块:针对输入任务的分类(例如数学、推理、哲学,或其他问题)等,对任务复杂度评估以及策略参数优化器。此外,研究人员还开发了智能体的自适应模块以及反馈机制的收集。
破解大模型协作中的从众难题
在实验部分,研究团队的测试覆盖了 8 个数据集,包括数学推理(GSM-Ranges、AIME2024、AIME2025 和 MATH500)、逻辑推理(StrategyQA 和 MMLU 的逻辑谬误数据集)、知识和理论推理(AICrypto 的多选题数据集)等。
据团队介绍,在综合数学推理测试中,研究人员综合使用国内的四大开源模型组合(Qwen3-235B、DeepSeek-V3.2、Kimi-K2 和 GLM-4.7)以及调用同一个国产大模型的单一组合(以上任意一种大模型, 如 Qwen3-235B)。
综合来看,Free-MAD 和 MAX-MAD 通过多智能辩论后,能够达到约 86.67%-90% 的准确率,不仅将四个单体模型本身的准确率大幅提升了 15-30%,更值得关注的是,该准确率也超过了主流闭源模型(如 Gemini 3、GPT-5.2)在相同数据集上的公开成绩。

(来源:arXiv)
基线方法采用了被广泛采用的多智能体辩论框架 SoM,结果显示,Free-MAD-N(反从众辩论+评分决策)在单轮辩论(R=1)时准确率达 64.43%,比基线 2 高近 10%,比基线 1 高近 19%。
值得关注的是,基线方法在单轮辩论时效果不佳,单轮无法形成共识;而 Free-MAD 不需要共识,单轮结果优于基线两轮成绩。

(来源:arXiv)
从 token 消耗结果来看,Free-MAD 或 MAX-MAD 的轮数由原来的两三轮变成现在的单轮,相当于整个 token 的使用量或带宽的使用量降为原来的一半。“这也是一项重要的成本节省。”张海滨说道。
在安全性方面,研究团队也进行了相关设计。智能体往往涉及到多智能体协作,50% 智能体被断网时,基线准确率会下降 15%-20%。因此,需要考虑的情况是:万一部分智能体无法正常工作,或系统的一部分不工作的情况,是否能保障系统的安全性,以及是否仍能够按时获得输出结果。
经过研究人员测算,Free-MAD 或 MAX-MAD 系统在抵御宕机或通信攻击情况下的表现较为理想。实验结果显示,即便智能体(短暂)离线,或受到敌手攻击,不能把自己的信息发送情况下,其余的智能体也能准确地完成任务。
从实验室走向产业:多智能体协作的落地路径
据研究团队介绍,来自研究社区的英国独立研究团队已基于该成果复现了 Free-MAD。值得注意的是,相关团队将包括权重在内的所有系统超参数设为自适应可配置,并引入了基于归一化的方法及若干额外工程化策略,显著提升了系统的实用性与并行能力。
这种兼具安全性和性能优势的框架有望用于高质量推理内容生成,以及智慧医疗、舆情治理、金融分析等高安全敏感应用领域。
在高质量内容生成领域,基于框架较强的通用性,该方案可直接用于任意大模型和智能体进行传统的智能问答。尽管它在结果返还速度上相对传统大模型较慢,但基于辩论优化逻辑链,可大幅度提升政策解读、行业报告等文本的专业性与可信度。
在智慧医疗领域,该成果有望模拟心内、影像、病理等多科室专家会诊,甚至产生辩论,来对疑难病症进行诊断。
例如,三个智能体分别对患者病情进行评估,在其中两个智能体误判为良性,一个智能体坚持是恶性的情况下,传统的 MAD 方法有可能因为共识压力输出错误的结果,而该方案能通过特有的轨迹分析,识别出少数派的扎实推理理念,进而做出更精准的评估。
在舆情治理方面,可构建虚拟的辩论社区,多角度解构舆情领域的脉络,实现风险的早识别、早干预。目前,在汽车舆情的治理方面,研究团队已经有相关落地案例。张海滨指出,“从结果来看,通过辩论得到的结果,明显优于单模型或传统共识型多智能体方案。”
在金融分析领域,多 Agent 协同有利于更好地研判市场信号,生成逻辑严密的投资策略和风控报告。

图丨张海滨(来源:受访者)
张海滨教授目前担任浙江清华长三角研究院信息技术研究所所长、学术带头人,其团队致力于为 AI 提供从数据层、模型层到应用层的完善解决方案。
该团队承担多项国家级与省部级科研项目,例如“天枢·可信数据空间”。围绕可信数据空间与多智能体协同架构展开研究,并落地大小模型协同的“天迹·工业智能体”。相关成果已在能源、电信、国家电网、国家管网等领域落地,并参与包括央行数字货币等在内的多边金融基础设施项目建设。
在未来的研究中,该团队计划构建新一代策略参数优化的更高性能、更准确的多智能体协作框架。目前,他们正在探索将该框架与硬件系统结合的可能性,旨在通过硬件优化解决多智能体辩论中分词、解码及广播带来的带宽消耗和延迟问题。
在算力成为瓶颈的时代,或许这类架构创新比单纯堆参数更具战略意义。
参考资料:
1.Yu Cui, Hang Fu, Haibin Zhang, Licheng Wang, Cong Zuo, Free-MAD: Consensus-free multi-agent debate, arXiv preprint arXiv:2509.11035
2.系统已开放内测,感兴趣的读者可邮件联系李老师: likang@tsinghua-zj.edu.cn
运营/排版:何晨龙
游乐网为非赢利性网站,所展示的游戏/软件/文章内容均来自于互联网或第三方用户上传分享,版权归原作者所有,本站不承担相应法律责任。如您发现有涉嫌抄袭侵权的内容,请联系youleyoucom@outlook.com。
同类文章
探秘第四代高能同步辐射光源HEPS限时打卡指南
在粒子物理与核探测技术领域,要捕捉并解析那些瞬息即逝的基本粒子和高能射线,必须依赖一种特殊的“感知之眼”——粒子探测器。而构成这双“眼睛”最核心的感光部件,往往是一块块高度纯净、性能卓越的人工闪烁晶体。这类晶体能够将高能粒子或射线所携带的能量,高效转换为可供记录与分析的光信号,从而成为现代高能物理实
杭州街道遭电商抵制背后:无理由退货引发的规则博弈
近期,杭州萧山区盈丰街道被国际奢侈品牌圣罗兰列入“发货黑名单”的消息,在电商圈内引发广泛关注。业内人士分析,这很可能是商家针对特定区域恶意退货率持续偏高所采取的无奈之举。事实上,将某个地区甚至具体街道设置为限制发货区域,在技术层面已十分成熟,且近期类似操作已在全国多地悄然出现。 有电商经营者透露,尽
莫氏鸡煲为何开业仅一月就客流锐减无人排队
流量时代的风口,生命周期往往短得惊人,能撑过三个月都算幸运儿。这背后,是注意力经济的残酷法则。 不知道各位还记不记得,一个月前全网刷屏的那家“最不想火的鸡煲店”?当时,老板老莫对着镜头直言味道一般,劝大家别跟风,甚至贴出告示提醒“喝汤可能拉肚子”。结果呢?这股“爱来不来”的桀骜劲儿,反而引爆了网络,
谷歌披露黑客利用AI开发零日漏洞攻击工具
谷歌安全团队近期披露了一起具有里程碑意义的网络攻击事件:一个网络犯罪组织利用人工智能技术,成功开发出一款能够自动探测并试图利用某款主流系统管理软件中未知安全漏洞的黑客工具。 这起事件的性质远超普通网络攻击。根据谷歌发布的详细报告,这是全球首次有确凿证据证实,人工智能被直接用于生成针对“零日漏洞”的自
2030年车企生死线:300万辆销量成行业新基准
当北京车展的聚光灯聚焦于新车发布时,一场关于未来生存法则的深度思考,正在行业内部引发广泛共鸣。 就在许多车企仍在为年度销量目标奋力冲刺之际,长安汽车已将战略视野投向了更具决定性的2030年。在中国长安汽车集团总裁赵非看来,那并非一个遥远的未来,而是一道严峻的行业“分水岭”。他近期明确提出了判断车企生
- 日榜
- 周榜
- 月榜
1
2
3
4
5
6
7
8
9
10
1
2
3
4
5
6
7
8
9
10
相关攻略
2015-03-10 11:25
2015-03-10 11:05
2021-08-04 13:30
2015-03-10 11:22
2015-03-10 12:39
2022-05-16 18:57
2025-05-23 13:43
2025-05-23 14:01
热门教程
- 游戏攻略
- 安卓教程
- 苹果教程
- 电脑教程
热门话题

